| 發刊日期 |
2026年3月
|
|---|---|
| 標題 | 以三角形圖形組建$\cos (\frac {\pi}{7})$的相關方程式並求解其函數值表示式 |
| 作者 | |
| 關鍵字 | |
| 檔案下載 | |
| 全文 |
壹、前言餘弦函數 $\cos (\frac {\pi}{7})$、 $\cos (\frac {2\pi}{7})$ 與 $\cos (\frac {3\pi}{7})$ 可以透過演算求解一個各自對應的三次多項式方程式而得出每一個函數值表示式。 組建 $\cos (\frac {\pi}{7})$ 對應的三次多項式方程有從等邊七邊形的複數根推演而成的; 此處本文特別要提出: 以利用不同三角形圖形組建 $\cos (\frac {\pi}{7})$、 $\cos (\frac {2\pi}{7})$ 及 $\cos (\frac {3\pi}{7})$ 的各相關三角方程式並探索、 求解其各自函數值表示式。 應用的三角形圖形有等腰三角形及三內角皆不相等的三角形兩類, 每一類都能推求出這 3 個各自對應的三次多項式方程與函數值表示式。 再針對每一個 $\cos (\frac {\pi}{7})$、 $\cos (\frac {2\pi}{7})$ 或 $\cos (\frac {3\pi}{7})$ 函數值表示式; 例如: $\cos (\frac {\pi}{7})$, 可以各自推廣到同質性的另5個 $\sin \frac{\pi}{7}$、 $\cos \frac {2\pi}7$、 $\sin \frac{2\pi}7$、 $\cos \frac{3\pi}7$、 $\sin \frac{3\pi }7$ 對應函數值; $\cos (\frac {2\pi}{7})$ 也能推廣到同質性的另外 5 個 $\sin \frac \pi 7$、 $\cos \frac{\pi} 7$、 $\sin \frac{2\pi}7$、 $\cos \frac{3\pi}7$、 $\sin \frac{3\pi}7$ 對應函數值; $\cos (\frac {3\pi}{7})$ 也有這種推廣特性。 有趣的是這 6 個函數值表示式內涵都含有相同的項 $\big[(1+3\sqrt{3}i)^{1/3}+(1-3\sqrt{3}i)^{1/3} \big]$, 顯而易見地, 這相同的項在不同的 4 個三角形圖形函數值內呈現出各為不同的實數值, $[(1+3\sqrt{3}i)^{1/3}+(1-3\sqrt{3}i)^{1/3} ]$ 的代數表示式蘊含著會等於 3 個不同的實數值。 主文中會仔細探索這 $\big[(1+3\sqrt{3}i)^{1/3}+(1-3\sqrt{3}i)^{1/3} \big]$ 實數值的身分。 貳、本文平面幾何中以尺規作圖法對任一角度作 $n$ 等分角被證明是不盡然可行的; 但若放寬尺規作圖的限制, 或允許使用另外的工具, 那麼 $n$ 等分任意角仍舊是可能的; 意即平面上任何角度的 $n$ 等分線於理論上是存在的, $n$ 為正整數, 所以, 理論上是可以作出 $\theta =\frac \pi 7$ 的角度。 所有的作圖思維與運算過程盡在主題敘述內容中。 一、 不同三角形圖形類型及推演其相關的三角方程式(一) 角度為 $\frac\pi 7$、 $\frac{3\pi}7$、 $\frac{3\pi}7$ 的等腰三角形:圖 1 為 $\theta =\frac\pi 7$ 的等腰三角形 $\triangle ABC$。 ![]() 頂角 $A$ 的角度為 $\theta =\pi /7$, 底角 $B$ 與 $C$ 的角度各為相等的 $3\theta $, 再令 $\triangle ABC$ 圖示裡的直線段 $AB = AC$ 長度為 $x$ 單位長, 直線段 $BC$ 長度為 $l$ 單位長。 [A] 圖 2, 在等腰三角形 $\triangle ABC$ 頂點 $B$ 處作一直線段 $BD$, 使得 $\angle DBC$ 被複製成為 $\theta =\frac \pi 7$ 的角度, 得 $\angle ABD=2\theta $, 新等腰三角形 $\triangle BCD$ 與 $\triangle ABC$ 互為相似形。 圖中的直線段 $BD = BC$ 長度皆為 $l$ 單位長, 另一直線段 $CD$ 設為 $y$ 單位長。 還有一個被分割成的三角形 $\triangle ABD$, 其 3 個角度各為 $\theta $、 $2\theta$、 $4\theta$ 的形式。 對圖 2 各角度 $\theta $、 $2\theta $、 $3\theta $、 $4\theta$ 與各直線段長度之間的關係作數學函數推演:
I. 應用圖2的三角形函數關係推演 $\cos \frac \pi 7$ 的三角方程式: $\theta =\frac \pi 7$, 因 $2 \cos \theta =2 \cos \frac \pi7\not=0$, 得角度 $\theta =\frac \pi 7$, 必存在方程式: \begin{align} 8\cos ^3 \theta -4\cos ^2 \theta -4 \cos \theta +1=0.\label{1} \end{align}第 \eqref{1} 式 即為 $\frac \pi 7$、 $\frac{3\pi}7$、 $\frac {3\pi}7$ 的等腰三角形組建出 $\cos \frac \pi 7$ 的一元 3 次實係數方程式。 II. 推演並求解出方程式 \eqref{1} 式型態裡 $\cos \frac \pi 7$ 的函數值表示式: 將三角方程式 $8\cos ^3 \theta -4\cos ^2 \theta -4 \cos \theta +1=0$ 首項係數轉換為 1, 得 $ \cos^3 \theta -\frac 12 cos^2 \theta -\frac 12 \cos \theta +\frac 18=0$, (a) 將此式轉化成只有 3 次方、 1 次方及常數項的新方程式, 演繹過程為 $$(cos^3 \theta -3\cdot\cos ^2 \theta \cdot \frac 16+3\cdot\cos \theta \cdot \frac 1{36}-\frac 1{216})-\frac 1{12}\cos\theta +\frac 1{216}-\frac 12\cos \theta +\frac 18=0,$$得 $(\cos \theta -\frac 1{6})^3-\frac 7{12} (\cos \theta -\frac 16)-\frac 7{72}+\frac 1{216}+\frac 18=0$, 再運算成新形式的 \begin{align} (\cos \theta -\frac 16)^3-\frac 7{12} (\cos \theta -\frac 16)+\frac 7{216}=0,\label{2} \end{align}(b) 取 $\cos \theta -\frac 16=z $, 第 \eqref{2} 式轉化為 \begin{align} z^3-\frac 7{12} z+\frac 7{216}=0 ,\label{3} \end{align}將第 \eqref{3} 式形式與對等方程式 $z^3+b^3+c^3-3zbc=0$ 作比對, 得對應關係為 $b^3+c^3=\frac 7{216}$ 與 $3bc=\frac 7{12}$, 演算成新式 $b^3+c^3=\frac 7{216}$ 與 $b^3 c^3=\big(\frac 7{36}\big)^3$, 接著將 $b^3$ 與 $c^3$ 視為兩根, 建立起 $t$ 的一個一元 2 次方程式, 其形式為 \begin{align*} t^2-(b^3+c^3)t+b^3 c^3=0,\ {\hbox{則有}}\ t^2- \frac 7{216} t+\big(\frac 7{36}\big)^3=0, \end{align*}解得兩根為 $t=\frac 12 \Big(\frac 7{216}\pm \sqrt{\Big(\frac 7{216}\Big)^2-4\cdot \Big(\frac 7{36}\Big)^3}\Big)=\frac 7{432} (1\pm 3\sqrt{3}i)$, 所以得到 兩根為 $b^3=\frac 7{432}(1+3\sqrt{3}i)$ 與 $c^3=\frac 7{432}(1-3\sqrt{3}i) $, 再得 $b$ 與 $c$ 各為 $$b=\frac 16 \big(\frac 72\big)^{1/3} (1+3\sqrt{3}i)^{1/3}\quad\hbox{與}\quad c=\frac 16 \big(\frac 72\big)^{1/3} (1-3\sqrt{3}i)^{1/3} ,$$(c) 對方程式 $z^3+b^3+c^3-3zbc=0$ 作因式分解, 可得 $$ z^3+b^3+c^3-3zbc=0=(z+b+c)(z^2+b^2+c^2-zb-bc-cz),$$直接得出 $z+b+c=0$ 或 $(z^2+b^2+c^2-zb-bc-cz)=0$, 自然得其一解為 $z=-b-c=-\frac 16 \big(\frac 72\big)^{1/3}\cdot \big[(1+3\sqrt{3}i)^{1/3}+(1-3\sqrt{3}i)^{1/3}\big]$, 再由 $z$ 的原本身分形式是 $\cos \theta -\frac 16=\cos \frac{\pi}7-\frac 16=z$, 將 $z$ 的身分置換入上式, 從而得到 \begin{align} \cos \frac \pi 7=\frac 16-\frac 16 \big(\frac 72\big)^{1/3}\cdot\big[(1+3\sqrt{3}i)^{1/3}+(1-3\sqrt{3}i)^{1/3}\big].\label{4} \end{align}第 \eqref{4} 式表示式就是 $\cos \frac \pi 7$ 的函數值表示式。 (d) 因角度範圍: $0\lt\frac \pi 7\lt\frac \pi 6$, 得 $1\gt\cos \frac \pi 7\gt\cos \frac \pi 6=\frac {\sqrt{3}}2=0.866$, 知悉這個 $\cos \frac \pi 7$ 是一正實數, 再由第 \eqref{4} 式等號右側的 $\frac 16=0.1667$ 與 $\cos \frac\pi 7$ 數值作比較, 有 $\cos \frac{\pi}7\gt\frac 16$。 因此, 第 \eqref{4} 式等式裡右側的 $[(1+3\sqrt{3}i)^{1/3}+(1-3\sqrt{3}i)^{1/3} ]$ 項式必然為一個負實數, 始能滿足 $\cos \frac\pi 7$ 的實數值, 它的真正身分就留待後續揭曉。 這個負實數是第 1 個出現的, 將它記為 $[(1+3\sqrt{3}i)^{1/3}+(1-3\sqrt{3}i)^{1/3} ]_1$ 形式以便利與後來推算出的新實數作為區別; 因此, 第 \eqref{4} 式等式寫成另一形式為 \begin{align} \cos \frac\pi 7=\frac 16-\frac 16 \big(\frac 72\big)^{1/3}\cdot \big[(1+3\sqrt{3}i)^{1/3}+(1-3\sqrt{3}i)^{1/3}\big]_1.\label{4a} \end{align}(e) 有了 $\cos \frac\pi 7$ 的函數值形式就能推演出 $\sin \frac \pi 7$、 $\cos \frac{2\pi} 7$、 $\sin \frac{2\pi}7$、 $\cos \frac{3\pi}7$、 $\sin \frac{3\pi}7$ 的各個對應函數值, 全部推演的運算過程詳盡敘述於下; i. 由 $\cos \frac\pi 7=2\cos^2\frac\pi{14}-1=1-2\sin^2\frac{\pi}{14}$, 可得 $\cos^2\frac{\pi}{14}=\frac 12 \big(1+\cos \frac{\pi}7\big)$, 得 \begin{align*} &\hskip -1.0cm\cos\frac{\pi}{14}=\sqrt{\frac 7{12}-\frac 1{12} \big(\frac 72\big)^{1/3}\cdot \big[(1+3\sqrt{3}i)^{1/3}+(1-3\sqrt{3}i)^{1/3}\big]_1},\ \hbox{再運算得}\\ &\hskip -1.0cm\sin\frac{\pi}{14}=\sqrt{\frac 5{12}+\frac 1{12} \big(\frac 72\big)^{1/3}\cdot \big[(1+3\sqrt{3}i)^{1/3}+(1-3\sqrt{3}i)^{1/3}\big]_1}. \end{align*}ii. 由 $\sin \frac\pi {14}=\sin\big(\frac \pi 2-\frac{3\pi}7\big)=\cos \frac{3\pi}7$, $\cos \frac{\pi}{14}=\cos\big(\frac \pi 2-\frac{3\pi}7\big) =\sin \frac{3\pi}7$, 即可獲得 \begin{align} &\hskip -1.0cm\cos\frac{3\pi}{7}=\sin\frac{\pi}{14}=\sqrt{\frac 5{12}+\frac 1{12} \big(\frac 72\big)^{1/3}\cdot \big[(1+3\sqrt{3}i)^{1/3}+(1-3\sqrt{3}i)^{1/3}\big]_1},\label{5a}\\ &\hskip -1.5cm\hbox{與}\ \sin\frac{3\pi}{7}=\cos\frac{\pi}{14}=\sqrt{\frac 7{12}-\frac 1{12} \big(\frac 72\big)^{1/3}\cdot \big[(1+3\sqrt{3}i)^{1/3}+(1-3\sqrt{3}i)^{1/3}\big]_1}.\label{6a} \end{align}iii. 由 $\cos \frac{3\pi}7=\cos\big(\pi-\frac{4\pi}7\big)=-\cos\frac{4\pi}7=1-2\cos^2\frac {2\pi}7=2\sin^2\frac{2\pi}7-1$, 可得 $\cos^2 \frac{2\pi}7=\frac 12 \big(1-\cos \frac{3\pi}7\big)$ 與 $\sin^2 \frac{2\pi}7=\frac 12 \big(1+\cos \frac{3\pi}7\big)$, 再演算得出 \begin{align} &\hskip -1.2cm\cos\frac{2\pi}{7}=\sqrt{\frac 12\Big(1-\sqrt{\frac 5{12}+\frac 1{12} \big(\frac 72\big)^{1/3}\cdot \big[(1+3\sqrt{3}i)^{1/3}+(1-3\sqrt{3}i)^{1/3}\big]_1}\Big)},\label{7a}\\ &\hskip -1.2cm\sin\frac{2\pi}{7}=\sqrt{\frac 12\Big(1+\sqrt{\frac 5{12}+\frac 1{12} \big(\frac 72\big)^{1/3}\cdot \big[(1+3\sqrt{3}i)^{1/3}+(1-3\sqrt{3}i)^{1/3}\big]_1}\Big)}.\label{8a} \end{align}iv. 又有 $\cos \frac{2\pi}7=1-2 \sin^2 \frac{\pi}7$, 可得 $\sin^2 \frac{\pi}7=\frac 12 (1-\cos\frac{2\pi}{7})$, 於是得出 $\sin \frac\pi7=\sqrt{\frac 12 \big(1-\cos \frac{2\pi}7\big)}$ \begin{align} \!=\!\sqrt{\frac 12\Bigg[1\!-\!\sqrt{\frac 12 \Bigg(1\!-\!\sqrt{\frac 5{12}\!+\!\frac 1{12} \big(\frac 72\big)^{1/3}\!\cdot\! \big[(1\!+\!3\sqrt{3}i)^{1/3}\!+\!(1\!-\!3\sqrt{3}i)^{1/3}\big]_1} \Bigg)}\Bigg]},\label{9a} \end{align}v. 至此, 所有的 $\cos \frac\pi 7$、 $\sin \frac \pi 7$、 $\cos \frac{2\pi}7$、 $\sin \frac{2\pi}7$、 $\cos \frac{3\pi}7$、 $\sin \frac{3\pi}7$ 函數值形式皆完全能依據第 \eqref{4a} 式、 \eqref{5a} 式、 \eqref{6.1} 式、 \eqref{7.1} 式、\eqref{8.1} 式、 \eqref{9.1} 式表徵完成, 更貼切的是; 每一等式都存在有 $[(1+3\sqrt{3}i)^{1/3}+(1-3\sqrt{3}i)^{1/3} ]_1$ 項式。 這是角度為 $\frac{\pi}7$、 $\frac{3\pi}7$、 $\frac{3\pi}7$ 的等腰三角形以 $\cos \frac{\pi}7$ 的第 \eqref{4a} 式推廣運算出的 \eqref{5a} 式、 \eqref{6.1} 式、 \eqref{7.1} 式、\eqref{8.1} 式、 \eqref{9.1} 式合計有 6 個函數值表示式結果。 [B] 圖 3, 在等腰三角形 $\triangle ABC$ 頂點 $B$ 處作一直線段 $BD$, 使得 $\angle ABV$ 被複製成為 $\theta =\frac \pi 7$ 的角度, 得 $\angle VBC=2\theta $, 再得出兩個新等腰三角形 $\triangle VAB$ 與 $\triangle CVB$ 。 ![]() 圖中的直線段 $VC = BC$ 長度皆為 $l$ 單位長, 另有直線段 $AV=BV$ 為 $x-l$ 單位長。 計有 3 個等腰三角形 $\triangle ABC$、 $\triangle VAB$ 與 $\triangle CVB$, 各個角度分佈依序如圖 3 顯示。 對圖3各角度 $\theta$、 $2\theta$、 $3\theta$、 $5\theta$ 與各直線段長度之間的關係作數學函數推演:
I. 應用圖3的三角形函數關係推演 $\cos \frac{2\pi}7$ 的三角方程式: $\theta =\frac \pi 7 $, 第 \eqref{10} 式為 $\frac \pi 7$、 $\frac{3\pi}7$、 $\frac{3\pi}7$ 的等腰三角形組建出 $\cos \frac{2\pi} 7$ 的一元 3 次實係數方程式。 II. 推演並求解出方程式 \eqref{10} 式型態裡 $\cos \frac{2\pi}7$ 的函數值表示式: 將三角方程式 $8\cos^3 2\theta +4\cos^2 2\theta -4\cos 2\theta -1=0$ 首項係數轉換為 1, 得 $\cos^3 2\theta +\frac 12 \cos^2 2\theta -\frac 12 \cos 2\theta -\frac 18=0$, (a) 將此式轉化成只有 3 次方、 1 次方及常數項的新方程式, 演繹過程為 $$(\cos ^3 2\theta +3\cdot \cos ^2 2\theta \cdot \frac 16+3\cdot \cos 2\theta \cdot \frac 1{36}+\frac 1{216})-\frac 1{12}\cos 2\theta -\frac 1{216} -\frac 12\cos 2\theta -\frac 18=0,$$得 $(\cos 2\theta +\frac 16)^3-\frac 7{12} (\cos 2\theta +\frac 16)+\frac 7{72}-\frac 1{216}-\frac 18=0$, 再運算成新形式的 \begin{align} (\cos 2\theta +\frac 16)^3-\frac 7{12} (\cos 2\theta +\frac 16)-\frac 7{216}=0,\label{11} \end{align}(b) 取 $\cos 2\theta +\frac 16=z$, 第 \eqref{11} 式轉化為 \begin{align} z^3-\frac 7{12}z-\frac 7{216}=0 ,\label{12} \end{align}將第 \eqref{12} 式形式與對等方程式 $z^3+b^3+c^3-3zbc=0$ 作比對, 得對應關係為 $b^3+c^3=\frac{-7}{216}$ 與 $3bc=\frac 7{12}$, 演算成新式 $b^3+c^3=\frac{-7}{216}$ 與 $b^3 c^3=\big(\frac 7{36}\big)^3$, 接著將 $b^3$ 與 $c^3$ 視為兩根, 建立起一個一元 2 次方程式, 其形式為 $$t^2-(b^3+c^3 )t+b^3 c^3=0 ,\quad\hbox{則有}\quad t^2+\frac 7{216} t+\big(\frac 7{36})^3=0 ,$$解得兩根為 $t=\frac 12 \Big(\frac{-7}{216}\pm \sqrt{\big(\frac{-7}{216}\big)^2-4\cdot\big(\frac 7{36}\big)^3}\Big)=\frac{-7}{432} (1\mp 3\sqrt 3 i) $, 所以得到兩根為 $b^3=\frac{-7}{432} (1-3\sqrt 3 i)$ 與 $c^3=\frac{-7}{432} (1+3\sqrt 3 i) $, 再得 $b$ 與 $c$ 各為 $$b=-\frac 16 \big(\frac 72\big)^{1/3} (1-3\sqrt 3 i)^{1/3}\quad\hbox{與}\quad c=-\frac 16 \big(\frac 72\big)^{1/3} (1+3\sqrt 3 i)^{1/3} ,$$(c) 對方程式 $z^3+b^3+c^3-3zbc=0$ 可作因式分解而得出下式 $$z^3+b^3+c^3-3zbc=0=(z+b+c)(z^2+b^2+c^2-zb-bc-cz),$$直接得出 $z+b+c=0$ 或 $(z^2+b^2+c^2-zb-bc-cz)=0 $, 自然得其一解為 $z=-b-c=\frac 16 \big(\frac 72\big)^{1/3}\cdot[(1-3\sqrt 3 i)^{1/3}+(1+3\sqrt 3 i)^{1/3} ]$, 再由 $z$ 的原本身分形式是 $\cos 2\theta+\frac 16=\cos \frac{2\pi}7+\frac 16=z$, 將 $z$ 的身分置換入上式, 從而得到 \begin{align} \cos \frac{2\pi}7=-\frac 16+\frac 16\big(\frac 72\big)^{1/3}\cdot [(1+3\sqrt 3 i)^{1/3}+(1-3\sqrt 3 i)^{1/3} ]. \label{13} \end{align}第 \eqref{13} 式表示式就是 $\cos \frac{2\pi}7$ 的函數值表示式。 (d) 因角度範圍: $\frac \pi 4\lt\frac{2\pi}7\lt\frac{\pi} 3$, 得 $0.707=\cos \frac{\pi} 4\gt\cos \frac{2\pi}7\gt\cos \frac \pi 3=0.5$, 知悉這個 $\cos \frac{2\pi}7$ 是一正實數, 再由第 \eqref{13} 式等號右側的 $\frac{-1}6=-0.1667$, 整體考量比較之後, 可得知, 第 \eqref{13} 式等式裡右側的 $[(1+3\sqrt 3 i)^{1/3}+(1-3\sqrt 3 i)^{1/3} ]$ 項式必然為一個正實數, 始能滿足 $\cos \frac{2\pi}7$ 的正實數, 它的真正數值留待後續揭曉。 這個正實數是第 2 個出現的, 將它記為 $[(1+3\sqrt 3 i)^{1/3}+(1-3\sqrt 3 i)^{1/3} ]_2$ 形式以便利與後來推算出的新實數作為區別; 因此, 第 \eqref{13} 式等式寫成另一形式為 \begin{align} \cos \frac{2\pi}7=-\frac 16+\frac 16\big(\frac 72\big)^{1/3}\cdot [(1+3\sqrt 3 i)^{1/3}+(1-3\sqrt 3 i)^{1/3} ]_2.\label{13b} \end{align}顯然地 $[(1+3\sqrt 3 i)^{1/3}+(1-3\sqrt 3 i)^{1/3} ]_2\not= [(1+3\sqrt 3 i)^{1/3}+(1-3\sqrt 3 i)^{1/3} ]_1$。 (e) 有了 $\cos\frac{2\pi}7$ 的函數值形式就能推演出 $\sin \frac{\pi}7$、 $\cos \frac \pi 7$、 $\sin \frac{2\pi}7$、 $\cos \frac{3\pi}7$、 $\sin \frac{3\pi}7$ 的各個對應函數值, 全部推演的運算過程皆詳盡敘述於下; i. 由 $\cos \frac{2\pi}7=2 \cos^2 \frac{\pi}7-1=1-2\sin^2 \frac{\pi}7$, 可得 $\cos^2 \frac{\pi}7=\frac 12 (1+\cos \frac{2\pi }7)$, 得 \begin{align} &\hskip -30pt \cos \frac \pi 7=\sqrt{\frac 5{12}+\frac 1{12} \big(\frac 72\big)^{1/3}\cdot [(1+3\sqrt{3} i)^{1/3}+(1-3\sqrt{3}i)^{1/3} ]_2},\label{14b}\\ &\hskip -30pt \hbox{再運算得} \sin \frac \pi 7=\sqrt{\frac 7{12}-\frac 1{12} \big(\frac 72\big)^{1/3}\cdot [(1+3\sqrt{3} i)^{1/3}+(1-3\sqrt{3} i)^{1/3}]_2},\label{15b} \end{align}再由 $\cos \frac \pi 7=2 \cos^2 \frac\pi {14}-1=1-2\sin^2\frac{\pi}{14}$, 可得 $\cos^2\frac{\pi}{14}=\frac 12 (1+\cos \frac{\pi}7)$, 得 $$\cos \frac{\pi}{14}=\sqrt{\frac 12 \Big(1+\sqrt{\frac 5{12}+\frac 1{12}\big(\frac 72\big)^{1/3}\cdot[(1+3\sqrt{3} i)^{1/3}+(1-3\sqrt{3} i)^{1/3}]_2}\Big)},$$再得 $$\sin \frac{\pi}{14}=\sqrt{\frac 12 \Big(1-\sqrt{\frac 5{12}+\frac 1{12} \big(\frac 72\big)^{1/3}\cdot [(1+3\sqrt{3} i)^{1/3}+(1-3\sqrt{3} i)^{1/3} ]_2}\Big)},$$ii. 由 $\sin \frac{\pi}{14}=\sin\big(\frac \pi 2-\frac{3\pi}7\big)=\cos \frac{3\pi}7$, $\cos \frac\pi {14}=\cos\big(\frac \pi 2-\frac{3\pi}7\big) =\sin \frac{3\pi}7$, 即可獲得 \begin{align} &\hskip -20pt \cos \frac{3\pi}{7}=\sin \frac{\pi}{14} =\sqrt{\frac 12 \Big(1-\sqrt{\frac 5{12 }+\frac 1{12}\big(\frac 72\big)^{1/3}\cdot [(1+3\sqrt{3} i)^{1/3}+(1-3\sqrt{3} i)^{1/3}]_2}\Big)},\label{16b}\\ \hbox{與}\ &\sin \frac{3\pi}{7}=\cos \frac \pi {14} =\sqrt{\frac 12 \Big(1+\sqrt{\frac 5{12}+\frac 1{12}\big(\frac 72\big)^{1/3}\cdot[(1+3\sqrt{3} i)^{1/3}+(1-3\sqrt{3} i)^{1/3} ]_2}\Big)},\label{17b} \end{align}iii. 由 $\cos \frac{3\pi}{7}=\cos \big(\pi -\frac{4\pi}7\big)=-\cos \frac{4\pi}7=2\sin^2\frac{2\pi}7-1$, 可得 $\sin^2\frac{2\pi}7=\frac 12 \big(1+\cos \frac{3\pi}{7}\big)$, 再演算得出 \begin{align} &\hskip -20pt \sin \frac{2\pi}7=\sqrt{\frac 12 \big(1+\cos \frac{3\pi}{7}\big)} =\sqrt{\frac 12 \Big[1\!+\!\sqrt{\frac 12 \Big(1\!-\!\sqrt{\frac 5{12}\!+\!\frac 1{12}\big(\frac 72\big)^{1/3}\cdot [(1\!+\!3\sqrt{3} i)^{1/3}\!+\!(1\!-\!3\sqrt{3} i)^{1/3}]_2}\Big)}\Big]}.\label{18b} \end{align}iv. 至此, 所有的 $\cos \frac \pi 7$、 $\sin \frac \pi 7$、 $\cos \frac{2\pi}7$、 $\sin \frac{2\pi}7$、 $\cos \frac{3\pi}{7}$、 $\sin\frac{3\pi}{7}$ 函數值形式皆完全能依據第 \eqref{14.2} 式、 \eqref{15.2} 式、 \eqref{13.2} 式、 \eqref{18.2} 式、 \eqref{16.2} 式、 \eqref{17.2} 式表徵完成, 更確實的是; 每一等式都存在有 $[(1+3\sqrt{3} i)^{1/3}+(1-3\sqrt{3} i)^{1/3} ]_2$ 項式。 這是角度為 $\frac \pi 7$、 $\frac {3\pi}7$、 $\frac {3\pi}7$ 的等腰三角形以 $\cos \frac {2\pi}7$ 的第 \eqref{13.2} 式推廣運算出的 \eqref{14.2} 式、 \eqref{15.2} 式、 \eqref{18.2} 式、 \eqref{16.2} 式、 \eqref{17.2} 式合計有 6 個函數值形式結果。 [C] 延續 [A] 段部份的下列圖 1 與圖 2 的圖形; 推演 $\cos \frac{3\pi} 7$ 的三角方程式; 對圖 2 各角度 $\theta$、 $2\theta$、 $3\theta$、 $4\theta$ 與各直線段長度之間的關係作數學函數推演: ![]()
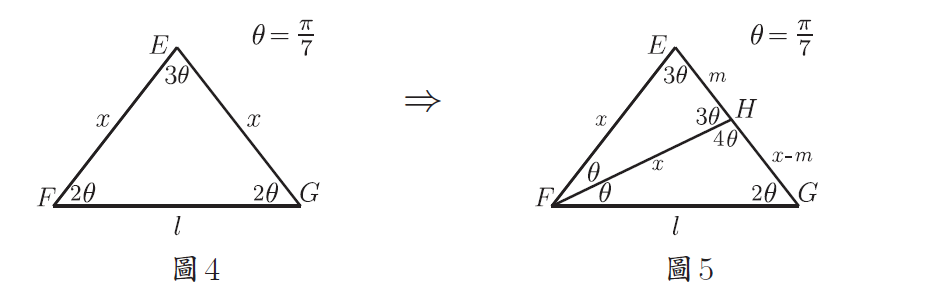
I. 應用圖 2 的三角形函數關係推演 $\cos 3\theta$ 的三角方程式: $\theta=\frac \pi 7$, 第 \eqref{19} 式 為 $\frac \pi 7$、 $\frac{3\pi}7$、 $\frac {3\pi}7$ 的等腰三角形組建出 $\cos \frac{3\pi}7$ 的一元 3 次實係數方程式。 II. 推演並求解出方程式 \eqref{19} 式型態裡 $\cos \frac{3\pi}7$ 的函數值表示式: 比對檢視方程式 \eqref{19} 式型態與方程式 \eqref{1} 式, 兩者型態相同而只有變數的區別, 所以求解的結果呈現出 $\cos \frac{3\pi}7$ 與 $\cos \frac \pi 7$ 的函數值表示式完全一致相同, 得出 \begin{align} \cos \frac{3\pi}7=\frac 16-\frac 16 \big(\frac 72\big)^{1/3}\cdot[(1+3\sqrt 3 i)^{1/3}+(1-3\sqrt 3 i)^{1/3} ] .\label{20} \end{align}(a) 因角度 $\frac \pi 3\lt\frac{3\pi}7\lt\frac{4\pi}9=80^\circ$, 得 $0.5=\cos \frac{\pi}3\gt\cos \frac{3\pi}7\gt\cos 80^\circ=0.1736$, 知悉 $\cos \frac{3\pi }7\gt0.1736$ 是一正實數, 再由第 \eqref{20} 式等號右側的 $\frac 16=0.1667$, 經考量比較之後可得知, 第 \eqref{20} 式等式裡右側的 $[(1+3\sqrt 3 i)^{1/3}+(1-3\sqrt 3 i)^{1/3} ]$ 項式必然為一個負實數, 始能滿足 $\cos \frac{3\pi}7\gt0.1736$ 的正實數。 (b) 接著再來比對第 \eqref{20} 式形式與第 \eqref{4} 式函數值形式, $$\cos \frac{\pi}7=\frac 16-\frac 16 \big(\frac 72\big)^{1/3}\cdot [(1+3\sqrt 3 i)^{1/3}+(1-3\sqrt 3 i)^{1/3} ].{\rm (4)}$$因 $\cos \frac{\pi}7\gt\cos \frac{3\pi}7$, 所以兩式中的這個 $[(1+3\sqrt 3 i)^{1/3}+(1-3\sqrt 3 i)^{1/3}]$ 項式並不相等, 且都是負實數。 有絕對必要再來區分這 2 個外觀同型的負實數。 這個負實數是第 3 個出現的, 將它記為 $[(1+3\sqrt 3 i)^{1/3}+(1-3\sqrt 3 i)^{1/3} ]_3$ 形式以便利與先前推算出的新實數作為區別; 因此, 第 \eqref{20} 式等式寫成另一形式為 \begin{align} \cos \frac{3\pi}7=\frac 16-\frac 16 \big(\frac 72\big)^{1/3}\cdot[(1+3\sqrt 3 i)^{1/3}+(1-3\sqrt 3 i)^{1/3} ]_3.\label{20c} \end{align}(c) 有了 $\cos \frac{3\pi}7$ 的函數值形式就能推演出 $\sin \frac \pi 7$、 $\cos \frac \pi 7$、 $\sin \frac{2\pi}7$、 $\cos \frac{2\pi}7$、 $\sin \frac{3\pi}7$ 的各個對應函數值, 全部推演的運算過程皆詳盡敘述於下; i. 由 $\cos\frac{3\pi}7 =\cos \big(\pi -\frac{4\pi}7 \big)=-\cos \frac{4\pi}7 =1-2\cos^2 \frac{2\pi}7=2 \sin^2 \frac{2\pi }7-1$, 可得 $\cos^2 \frac{2\pi}7=\frac 12 \big(1-\cos \frac{3\pi}7\big)$ 與 $\sin^2 \frac{2\pi}7=\frac 12 \big(1+\cos \frac{3\pi}7\big)$, 再演算得出 \begin{align} \cos \frac{2\pi}7=\sqrt{\frac 5{12}+\frac 1{12} \big(\frac 72\big)^{1/3}\cdot [(1+3\sqrt 3 i)^{1/3}+(1-3\sqrt 3 i)^{1/3} ]_3},\label{21c}\\ \sin \frac{2\pi}7=\sqrt{\frac 7{12}-\frac 1{12} \big(\frac 72\big)^{1/3}\cdot [(1+3\sqrt 3 i)^{1/3}+(1-3\sqrt 3 i)^{1/3} ]_3},\label{22c} \end{align}ii. 由 $\cos \frac{2\pi}7=2\cos^2\frac\pi 7-1=1-2\sin^2\frac \pi 7$, 可得 $\cos^2 \frac\pi 7=\frac 12 \big(1+\cos \frac{2\pi }7\big)$, 得 \begin{align} &\cos \frac \pi 7=\sqrt{\frac 12 \Big(1+\sqrt{\frac 5{12}+\frac 1{12} \big(\frac 72\big)^{1/3}\cdot [(1+3\sqrt{3}i)^{1/3}+(1-3\sqrt{3}i)^{1/3} ]_3}\Big)},\label{23c}\\ \hbox{與}&\sin \frac \pi 7=\sqrt{\frac 12 \Big(1-\sqrt{\frac 5{12}+\frac 1{12} \big(\frac 72\big)^{1/3}\cdot [(1+3\sqrt{3}i)^{1/3}+(1-3\sqrt{3}i)^{1/3} ]_3}\Big)},\label{24c} \end{align}iii. 再由 $\cos \frac \pi 7=2\cos^2 \frac \pi {14}-1$, 可得 $\cos^2 \frac \pi {14}=\frac 12 \big(1+\cos \frac \pi 7\big)$, 得 $$\hskip -33pt \cos \frac\pi {14}\!=\!\sqrt{\frac 12 \Big[1\!+\!\sqrt{\frac 12 \Big(1\!+\!\sqrt{\frac 5{12}\!+\!\frac 1{12} \big(\frac 72\big)^{1/3}\cdot [(1\!+\!3\sqrt{3}i)^{1/3}\!+\!(1\!-\!3\sqrt{3}i)^{1/3} ]_3}\Big)}\Big]},$$由 $\cos \frac \pi {14}=\cos \big(\frac \pi 2-\frac{3\pi}7\big)=\sin \frac{3\pi}7$, 再得 \begin{align} \hskip -33pt \sin \frac{3\pi}7\!=\!\sqrt{\frac 12 \Big[1\!+\!\sqrt{\frac 12 \Big(1\!+\!\sqrt{\frac 5{12}\!+\!\frac 1{12} \big(\frac 72\big)^{1/3}\cdot [(1\!+\!3\sqrt{3}i)^{1/3}\!+\!(1\!-\!3\sqrt{3}i)^{1/3} ]_3}\Big)}\Big]},\label{25c} \end{align}iv. 至此, 所有的 $\cos\frac \pi 7$、 $\sin \frac \pi 7$、 $\cos \frac{2\pi}7$、 $\sin \frac{2\pi}7$、 $\cos \frac{3\pi}7$、 $\sin \frac{3\pi}7$ 函數值形式皆完全能依據第 \eqref{20.3} 式、 \eqref{21.3} 式、 \eqref{22.3} 式、 \eqref{23.3} 式、 \eqref{24.3} 式、 \eqref{25.3} 式表徵完成, 更確定的是; 每一等式都存在有 $[(1+3\sqrt{3}i)^{1/3}+(1-3\sqrt{3}i)^{1/3} ]_3$ 項式。 這是角度為 $\frac {\pi}7$、 $\frac {3\pi}7$、 $\frac {3\pi}7$ 的等腰三角形以 $\cos \frac {3\pi}7$ 的第 \eqref{20.3} 式推廣運算出的 \eqref{21.3} 式、 \eqref{22.3} 式、 \eqref{23.3} 式、 \eqref{24.3} 式、 \eqref{25.3} 式合計有 6 個函數值形式結果。 (二) 角度為 $\frac{3\pi}7$、 $\frac {2\pi}7$、 $\frac {2\pi}7$ 的等腰三角形: 圖 4 為 $\theta=\frac {\pi}7$ 的等腰三角形 $\triangle EFG$。 ![]() 令 $\triangle EFG$ 的直線段 $EF = EG$ 長度為 $x$ 單位長, 直線段 $FG$ 長度為 $l$ 單位長。 [A] 圖 5, 在等腰三角形 $\triangle EFG$ 頂點 $F$ 處作一直線段 $FH$, 使得 $\angle HFG$ 被複製成為 $\theta = \frac{\pi}7$ 的角度, 得 $\angle EFH= \theta $, 新等腰三角形 $\triangle EFH$ 角度形式為 $\frac{\pi}7$、 $\frac{3\pi}7$、 $\frac{3\pi}7$。 圖中的直線段 $EF = FH$ 長度皆為 $x$ 單位長, 另有直線段 $EH$ 為 $m$ 單位長, 直線段 $HG$ 為 $x-m$ 單位長。 計有 2 個等腰三角形 $\triangle EFG$、 $\triangle EFH$, 各個角度與線段長度分佈依序如圖 5 顯示。 對圖 5 各角度 $\theta $、 $2 \theta $、 $3 \theta $、 $4 \theta$ 與各直線段長度之間的關係作數學函數推演: I. 應用圖 5 的三角形函數關係推演 $\cos \theta$ 的三角方程式: $\theta = \frac{\pi}7 $,
(a) 對 $\triangle EFH$ 言, 有正弦關係式 $\frac m {\sin \theta}=\frac x{\sin 3 \theta}$, 得
$x=m \cdot \frac{\sin 3 \theta }{\sin \theta}$, 化簡為
$x=m \cdot (3-4\sin^2 \theta )=m \cdot (4\cos^ 2\theta -1)$。 第 \eqref{26} 式 為 $\frac{3\pi}7$、 $\frac{2 \pi}7 $、 $\frac{2 \pi}7$ 的等腰三角形組建出 $\cos \frac{\pi}7$ 的一元 3 次實係數方程式。 比對第 \eqref{26} 式形式與第 \eqref{1} 式型態完全相等。 II. 推演並求解出方程式 \eqref{26} 式型態裡 $\cos \frac{\pi}7$ 的函數值表示式: 仿效 \eqref{1} 式方程式型態的求解演算過程(略)而得到下列相同的整體函數值結果: \begin{align} &\cos \frac{\pi}7=\frac 16-\frac 16 \big(\frac 72\big)^{1/3}\cdot [(1+3\sqrt{3}i)^{1/3}+(1-3\sqrt{3}i)^{1/3} ]_1.\label{4.1} \end{align} \begin{align} &\cos \frac{3\pi}7=\sin \frac{\pi}{14}=\sqrt{\frac 5{12}+\frac 1{12} \big(\frac 72\big)^{1/3}\cdot [(1+3\sqrt{3}i)^{1/3}+(1-3\sqrt{3}i)^{1/3}]_1},\label{5.1} \end{align} \begin{align} &\hbox{與}\ \sin \frac{3\pi}7\!=\!\cos \frac{\pi}{14}\!=\!\sqrt{\frac 7{12}\!-\!\frac 1{12} \big(\frac 72\big)^{1/3}\cdot [(1\!+\!3\sqrt{3}i)^{1/3}\!+\!(1\!-\!3\sqrt{3}i)^{1/3}]_1},\label{6.1} \end{align} \begin{align} &\cos \frac{2\pi}7=\sqrt{\frac 12 \Big(1-\sqrt{\frac 5{12}+\frac 1{12} \big(\frac 72\big)^{1/3}\cdot [(1+3\sqrt{3}i)^{1/3}+(1-3\sqrt{3}i)^{1/3}]_1}\Big)},\label{7.1} \end{align} \begin{align} &\sin \frac{2\pi}7=\sqrt{\frac 12 (1+\sqrt{\frac 5{12}+\frac 1{12} \big(\frac 72\big)^{1/3}\cdot [(1+3\sqrt{3}i)^{1/3}+(1-3\sqrt{3}i)^{1/3} ]_1}\Big)},\label{8.1} \end{align} \begin{align} &\sin\frac{\pi}7=\sqrt{\frac 12 \big(1-\cos \frac{2\pi}7\big)} =\sqrt{\frac 12 \Big[1\!-\!\sqrt{\frac 12 \Big(1\!-\!\sqrt{\frac 5{12}\!+\!\frac 1{12} \big(\frac 72\big)^{1/3}\cdot [(1\!+\!3\sqrt{3}i)^{1/3}\!+\!(1\!-\!3\sqrt{3}i)^{1/3} ]_1}\Big)}\Big]},\label{9.1} \end{align}這是角度為 $\frac{3\pi}7$、 $\frac{2\pi}7$、 $\frac{2\pi}7$ 的等腰三角形以 $\cos \frac{\pi}7$ 的第 \eqref{4.1} 式推廣運算出的 \eqref{5.1} 式、 \eqref{6.1} 式、 \eqref{7.1} 式、 \eqref{8.1} 式、 \eqref{9.1} 式合計有 6 個函數值表示式結果。 [B] 圖6, 在等腰三角形 $\triangle EFG$ 頂點E處作一直線段 $ET$, 使得 $\angle GET$ 被複製成為 $\theta =\frac \pi 7$ 的角度, 得 $\angle TEF=2\theta $, 新等腰三角形 $\triangle TEF$ 角度形式為 $\frac{3\pi}7$、 $\frac {2\pi}7$、 $\frac{2\pi}7$。 ![]() 圖中的直線段 $ET = FT$ 長度皆為 $s$ 單位長, 另有直線段 $TG$ 為 $l-s$ 單位長。 計有 2 個等腰三角形 $\triangle EFG$ 與 $\triangle TEF$, 各個角度與線段長度分佈依序如圖 6 顯示。 對圖 6 各角度 $\theta$、 $2\theta$、 $3\theta$、 $4\theta$ 與各直線段長度之間的關係作數學函數推演:
I. 應用圖 6 的三角形函數關係推演 $\cos\frac{2\pi}7$ 的三角方程式: $\theta =\frac{\pi}7$, 再得 \begin{align} 8\cos^3 2\theta +4\cos^2 2\theta -4\cos 2\theta -1=0.\label{27} \end{align}第 \eqref{27} 式為 $\frac{3\pi}7$、 $\frac{2\pi}7$、 $\frac{2\pi}7$ 的等腰三角形組建出 $\cos \frac{2\pi}7$ 的一元 3 次實係數方程式。 II. 推演並推演並求解出方程式 \eqref{27} 式型態裡 $\cos \frac{2\pi}7$ 的函數值表示式: 比對第 \eqref{27} 式形式與第 \eqref{10} 式型態完全相等。 仿效 \eqref{10} 式方程式型態的求解演算過程 (略) 而得到下列相同的整體函數值結果: \begin{align} &\cos \frac{2\pi}7=-\frac 16+\frac 16 \big(\frac 72\big)^{1/3}\cdot [(1+3\sqrt{3}i)^{1/3}+(1-3\sqrt{3}i)^{1/3} ]_2. \label{13.2} \end{align} \begin{align} &\cos \frac{\pi}7=\sqrt{\frac 5{12}+\frac 1{12}\big(\frac 72\big)^{1/3}\cdot [(1+3\sqrt{3}i)^{1/3}+(1-3\sqrt{3}i)^{1/3} ]_2},\label{14.2} \end{align} \begin{align} &\sin \frac{\pi}7=\sqrt{\frac 7{12}-\frac 1{12}\big(\frac 72\big)^{1/3}\cdot [(1+3\sqrt{3}i)^{1/3}+(1-3\sqrt{3}i)^{1/3} ]_2},\label{15.2} \end{align} \begin{align} &\cos \frac{3\pi}7=\sqrt{\frac 12 \Big(1-\sqrt{\frac 5{12}+\frac 1{12}\big(\frac 72\big)^{1/3}\cdot [(1+3\sqrt{3}i)^{1/3}+(1-3\sqrt{3}i)^{1/3} ]_2}\Big)},\label{16.2} \end{align} \begin{align} &\sin \frac{3\pi}7=\sqrt{\frac 12 \Big(1+\sqrt{\frac 5{12}+\frac 1{12}\big(\frac 72\big)^{1/3}\cdot [(1+3\sqrt{3}i)^{1/3}+(1-3\sqrt{3}i)^{1/3} ]_2}\Big)},\label{17.2} \end{align} \begin{align} &\sin \frac{2\pi}7=\sqrt{\frac 12 (1+\cos \frac{3\pi}7)} =\sqrt{\frac 12 \Big[1\!+\!\sqrt{\frac 12 \Big(1\!-\!\sqrt{\frac 5{12}\!+\!\frac 1{12} \big(\frac 72\big)^{1/3}\cdot [(1\!+\!3\sqrt{3}i)^{1/3}\!+\!(1\!-\!3\sqrt{3}i)^{1/3}]_2}\Big)}\Big]},\label{18.2} \end{align}這是角度為 $\frac{3\pi}7$、 $\frac{2\pi}7$、 $\frac {2\pi}7$ 的等腰三角形以 $\cos \frac{2\pi}7$ 的第 \eqref{13.2} 式推廣運算出的 \eqref{14.2} 式、 \eqref{15.2} 式、 \eqref{18.2} 式、 \eqref{16.2} 式、 \eqref{17.2} 式合計有 6 個函數值形式結果。 [C] 延續 (二) 之 [A] 段部份的圖 4 與圖 5 的圖形; 推演 $\cos \frac{3\pi}7$ 的三角方程式; ![]() 對圖 5 各角度 $\theta $、 $2\theta $、 $3\theta $、 $4\theta$ 與各直線段長度之間的關係作數學函數推演:
I. 應用圖 5 的三角形函數關係推演 $\cos \frac{3\pi}7$ 的三角方程式: $\theta =\frac{\pi}7$, 第 \eqref{28} 式為 $\frac{3\pi}7$、 $\frac{2\pi}7$、 $\frac{2\pi}7$ 的等腰三角形組建出 $\cos \frac{3\pi}7$ 的一元 3 次實係數方程式。 II. 推演並求解出方程式 \eqref{28} 式型態裡 $\cos\frac{3\pi}7$ 的函數值表示式: 比對檢視方程式 \eqref{28} 式型態與方程式\eqref{19} 式, 兩者型態完全相等, 所以運算求解的結果呈現出 $\cos \frac{3\pi}7$ 函數值表示式型式與 \eqref{20.3} 式等式完全一致相同; 仿效 \eqref{20.3} 式等式型態的求解演算過程(略)而得到下列相同的整體函數值結果: \begin{align} &\cos \frac{3\pi}7=\frac 16-\frac 16 \big(\frac 72\big)^{1/3}\cdot [(1+3\sqrt{3}i)^{1/3}+(1-3\sqrt{3}i)^{1/3} ]_3.\label{20.3} \end{align} \begin{align} &\cos \frac{2\pi}7=\sqrt{\frac 5{12}+\frac 1{12} \big(\frac 72\big)^{1/3}\cdot [(1+3\sqrt{3}i)^{1/3}+(1-3\sqrt{3}i)^{1/3} ]_3},\label{21.3} \end{align} \begin{align} &\sin \frac{2\pi}7=\sqrt{\frac 7{12}-\frac 1{12} \big(\frac 72\big)^{1/3}\cdot [(1+3\sqrt{3}i)^{1/3}+(1-3\sqrt{3}i)^{1/3} ]_3},\label{22.3} \end{align} \begin{align} &\cos \frac{\pi}7=\sqrt{\frac 1{2} \Big(1+\sqrt{\frac 5{12}+\frac 1{12} \big(\frac 72\big)^{1/3}\cdot [(1+3\sqrt{3}i)^{1/3}+(1-3\sqrt{3}i)^{1/3} ]_3}\Big)},\label{23.3} \end{align} \begin{align} &\sin \frac{\pi}7=\sqrt{\frac 1{2} \Big(1-\sqrt{\frac 5{12}+\frac 1{12} \big(\frac 72\big)^{1/3}\cdot [(1+3\sqrt{3}i)^{1/3}+(1-3\sqrt{3}i)^{1/3}]_3}\Big)},\label{24.3} \end{align} \begin{align} &\hbox{與}\ \sin \frac{3\pi}7 =\!\sqrt{\frac 1{2} \Big[1\!+\!\sqrt{\frac 1{2} \Big(1\!+\!\sqrt{\frac 5{12}\!+\!\frac 1{12} \big(\frac 72\big)^{1/3}\cdot [(1\!+\!3\sqrt{3}i)^{1/3}\!+\!(1\!-\!3\sqrt{3}i)^{1/3} ]_3}\Big)}\Big]},\label{25.3} \end{align}這是角度為 $\frac{3\pi}7$、 $\frac{2\pi}7$、 $\frac{2\pi}7$ 的等腰三角形以 $\cos \frac{3\pi}7$ 的第 \eqref{20.3} 式推廣運算出的 \eqref{21.3} 式、 \eqref{22.3} 式、 \eqref{23.3} 式、 \eqref{24.3} 式、 \eqref{25.3} 式合計有 6 個函數值形式結果。 (三) 角度為 $\frac {5\pi}7$、 $\frac {\pi}7$、 $\frac {\pi}7$ 的等腰三角形: 圖 7 為 $\theta=\frac {\pi}7$ 的等腰三角形 $\triangle STU$。 ![]() 令 $\triangle STU$ 的直線段 $ST = SU$ 長度為 $x$ 單位長, 直線段 $TU$ 長度為 $l$單位長。 [A] 圖 8, 在等腰三角形 $\triangle STU$ 頂點 $S$ 處作一直線段 $SW$, 使得 $\angle TSW$ 被複製成為 $\theta =\frac{\pi}7$ 的角度, 得 $\angle USW=4 \theta $, 新等腰三角形 $\triangle WST$ 角度形式為 $\frac{5\pi}7$、 $\frac{\pi}7$、 $\frac{\pi}7$。 三角形 $\triangle STU$ 與 $\triangle WST$ 互為相似形, 另一 $\triangle USW$ 角度分佈為 $\frac{\pi}7$、 $\frac{4\pi}7$、 $\frac{2\pi}7$。 直線段 $TW = SW$ 長度為 $u$ 單位長, 直線段 $WU$ 長度為 $l-u$ 單位長。 對圖 8 各角度 $\theta $、 $2 \theta $、 $3 \theta $、 $4 \theta$ 與各直線段長度之間的關係作數學函數推演:
I. 應用圖 8 的三角形函數關係推演 $\cos\theta$ 的三角方程式: $\theta =\frac{\pi}7 $, 第 \eqref{29} 式 為 $\frac{5\pi}7$、 $\frac{\pi}7$、 $\frac{\pi}7$ 的等腰三角形組建出 $\cos \frac{\pi}7$ 的一元 3 次實係數方程式。 II. 推演並求解出方程式 \eqref{29} 式型態裡 $\cos\frac{\pi}7$ 的函數值表示式: 比對檢視方程式 \eqref{29} 式型態與方程式 \eqref{1} 式, 兩者型態完全相等, 所以求解的結果是所有的 $\cos \frac{\pi}7$、 $\sin\frac{\pi}7$、 $\cos \frac{2\pi}7$、 $\sin \frac{2\pi}7$、 $\cos \frac{3\pi}7$、 $\sin \frac{3\pi}7$ 函數值形式皆完全能依據第 \eqref{4.1} 式、 \eqref{5.1} 式、 \eqref{6.1} 式、 \eqref{7.1} 式、 \eqref{8.1} 式、 \eqref{9.1} 式表徵完成, 省略其運算過程。 [B] 承續上述圖 7、 8 的圖形, 對圖 7、 8 各角度 $\theta $、 $2 \theta$、 $4 \theta $、 $5 \theta$ 與各直線段長度之間的關係作數學函數推演: ![]()
I. 應用圖 7、 圖 8 的三角形函數關係推演 $\cos 2 \theta$ 的三角方程式: $\theta = \frac{\pi}7$, 第 \eqref{30} 式 為 $\frac{5\pi}7$、 $\frac{\pi}7$、 $\frac{\pi}7$ 的等腰三角形組建出 $\cos \frac{2\pi}7$ 的一元 3 次實係數方程式。 II. 推演並求解出方程式 \eqref{30} 式型態裡 $\cos \frac{2\pi}7$ 的函數值表示式: 比對檢視方程式 \eqref{30} 式型態與方程式 \eqref{10} 式, 兩者型態完全相等, 所以求解的結果是所有的 $\cos \frac{\pi}7$、 $\sin\frac{\pi}7$、 $\cos \frac{2\pi}7$、 $\sin2\frac{\pi}7$、 $\cos \frac{3\pi}7$、 $\sin\frac{3\pi}7$ 函數值形式皆完全能依據第 \eqref{13.2} 式推廣運算出的 \eqref{14.2} 式、 \eqref{15.2} 式、 \eqref{18.2} 式、 \eqref{16.2} 式、 \eqref{17.2} 式合計有 6 個函數值形式結果, 省略運算過程。 [C] 圖 9, 在等腰三角形 $\triangle STU$ 頂點 $S$ 處作一直線段 $SV$, 使得 $\triangle TSV$ 被複製成為 $2\theta =\frac{2\pi}7$ 的角度, 得 $\triangle USV=3\theta $, 新等腰三角形 $\triangle USV$ 角度形式為 $\frac{\pi}7$、 $\frac{3\pi}7$、 $\frac{3\pi}7$。 ![]() 另一 $\triangle STV$ 角度分佈為 $\frac{2\pi}7$、 $\frac{\pi}7$、 $\frac{4\pi}7$。 直線段 $VU = SU$ 長度為 $x$ 單位長, 直線段 $TV$ 長度為 $l-x$ 單位長。 直線段 $SV$ 長度為 $y$ 單位長。 對圖 7、 9 各角度 $\theta $、 $2\theta $、$\cdots$、 $5\theta$ 與各直線段長度之間的關係作數學函數推演:
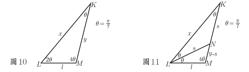
I. 應用圖 7、 圖 9 的三角形函數關係推演 $\cos 3\theta$ 的三角方程式: $\theta =\frac{\pi}7$, (c) 對 $\triangle USV$ 言, 有餘弦關係式 $y^2=2x^2-2x^2\cdot\cos \theta $, 得 $2\cos \theta =2-\big(\frac yx\big)^2$, 由 $\frac yx=2\cos 3\theta $, 可得 $2\cos \theta =2-4 \cos^2 3\theta $, 代入第 \eqref{31} 式, 得 $1=(2-4 \cos^2 3\theta)\cdot (1-2\cos 3\theta)$, 再運算, 得 \begin{align} 8\cos^3 3\theta -4\cos^2 3\theta -4 \cos 3\theta +1=0.\label{32} \end{align}第 \eqref{30} 式 為 $\frac{5\pi}7$、 $\frac{\pi}7$、 $\frac{\pi}7$ 的等腰三角形組建出 $\cos \frac{3\pi}7$ 的一元 3 次實係數方程式。 II. 推演並求解出方程式 \eqref{32} 式型態裡 $\cos \frac{3\pi}7$ 的函數值表示式: 比對檢視方程式 \eqref{32} 式型態與方程式 \eqref{19} 式, 兩者型態完全相等, 所以求解的結果是所有的 $\cos\frac{\pi}7$、 $\sin\frac{\pi}7$、 $\cos\frac{2\pi}7$、 $\sin \frac{2\pi}7$、 $\cos \frac{3\pi}7$、 $\sin \frac{3\pi}7$ 函數值形式皆完全能依據第 \eqref{20} 式解說推廣運算出的 \eqref{20.3} 式、 \eqref{21.3} 式、 \eqref{22.3} 式、 \eqref{23.3} 式、 \eqref{24.3} 式、 \eqref{25.3} 式合計有 6 個函數值形式結果, 省略運算過程。 (四) 角度為 $\frac{\pi}7$、 $\frac{2\pi}7$、 $\frac{4\pi}7$ 的三角形: 圖 10 為 $\theta=\frac{\pi}7$ 的不等角三角形 $\triangle KLM$。 ![]() 令 $\triangle KLM$ 的直線段 $KL$ 長度為 $x$ 單位長, 直線段 $LM$ 為 $l$ 單位長, $MK$ 為 $y$ 單位長。 [A] 圖10, 在三角形 $\triangle KLM$ 頂點 $L$ 處作一直線段 $LN$, 使得 $\angle KLN$ 被複製成為 $\theta =\frac{\pi}7$ 的角度, 得 $\angle NLM=\theta $, 圖 11, 新等腰三角形 $\triangle NKL$ 角度形式為 $\frac{5\pi}7$、 $\frac{\pi}7$、 $\frac{\pi}7$。 $\triangle LNM$ 角度分佈為 $\frac{\pi}7$、 $\frac{2\pi}7$、 $\frac{4\pi}7$, 三角形 $\triangle LNM$ 與 $\triangle KLM$ 互為相似形。 令直線段 $NK = NL$ 長度為 $s$ 單位長, 直線段 $NM$ 長度為 $y-s$單位長。 對圖 11 各角度 $\theta $、 $2\theta $、 $4\theta $、 $5\theta$ 與各直線段長度之間的關係作數學函數推演:
I. 應用圖 10、 11 的三角形函數關係推演 $\cos \theta$ 的三角方程式: $\theta =\frac{\pi}7$, 第 \eqref{33} 式為 $\frac{\pi}7$、 $\frac{2\pi}7$、 $\frac{4\pi}7$ 的三角形 $\triangle KLM$ 組建出 $\cos \frac{\pi}7$ 的一元3次實係數方程式。 II. 推演並求解出方程式 \eqref{33} 式型態裡 $\cos \frac{\pi}7$ 的函數值表示式: 檢視方程式 \eqref{33} 式型態與方程式 \eqref{1} 式, 兩者型態完全相等, 所以求解的結果是所有的 $\cos \frac{\pi}7$、$\sin\frac{\pi}7$、 $\cos \frac{2\pi}7$、 $\sin\frac{2\pi}7$、 $\cos \frac{3\pi}7$、 $\sin\frac{3\pi}7$ 函數值形式皆完全能依據第 \eqref{4} 式解說推廣運算出的 \eqref{4.1} 式、 \eqref{5.1} 式、 \eqref{6.1} 式、 \eqref{7.1} 式、 \eqref{8.1} 式、 \eqref{9.1} 式合計有 6 個函數值形式結果, 省略運算過程。 [B] 圖 10, 在三角形 $\triangle KLM$ 頂點 $M$ 處作一直線段 $MP$, 使得 $\angle LMP$ 被複製成為 $2\theta =\frac{2\pi}7$ 的角度, 得 $\angle PMK=2\theta $, 如圖 12, 新等腰三角形 $\triangle PLM$ 角度形式為 $\frac{3\pi}7$、 $\frac{2\pi}7$、 $\frac{2\pi}7$。 $\triangle KMP$ 角度分佈為 $\frac{\pi}7$、 $\frac{2\pi}7$、 $\frac{4\pi}7$, 這 $\triangle KMP$ 與 $\triangle KLM$ 互為相似形。 ![]() 令直線段 $PL = PM$ 長度為 $t$ 單位長, 直線段 $PK$ 長度為 $x-t$ 單位長。
I. 應用圖 10、 12 的三角形函數關係推演 $\cos 2\theta$ 的三角方程式: $\theta =\frac{\pi}7 $, 第 \eqref{34} 式 為 $\frac{\pi}7$、 $\frac{2\pi}7$、 $\frac{4\pi}7$ 的三角形 $\triangle KLM$ 組建出 $\cos \frac{2\pi}7$ 的一元 3 次實係數方程式。 II. 推演並求解出方程式 \eqref{34} 式型態裡 $\cos \frac{2\pi}7$ 的函數值表示式: 檢視方程式 \eqref{34} 式型態與方程式 \eqref{10} 式, 兩者型態完全相等, 所以求解的結果是所有的 $\cos \frac{\pi}7$、 $\sin \frac{\pi}7$、 $\cos \frac{2\pi}7$、 $\sin \frac{2\pi}7$、 $\cos \frac{3\pi}7$、 $\sin \frac{3\pi}7$ 函數值形式皆完全能依據第 \eqref{13.2} 式推廣運算出的 \eqref{14.2} 式、 \eqref{15.2} 式、 \eqref{18.2} 式、 \eqref{16.2} 式、 \eqref{17.2} 式合計有 6 個函數值形式結果, 省略運算過程。 [C] 圖 10, 在三角形 $\triangle KLM$ 頂點 $M$ 處作一直線段 $MR$, 使得 $\angle LMR$ 被複製成為 $3\theta =\frac{3\pi}7$ 的角度, 得 $\angle RMK=\theta $, 如圖 13, 新等腰三角形 $\triangle MRL$ 角度形式為 $\frac{3\pi}7$、 $\frac{2\pi}7$、 $\frac{2\pi}7$, $\triangle RMK$ 角度分佈為 $\frac{5\pi}7$、 $\frac{\pi}7$、 $\frac{\pi}7$, 這 $\triangle RMK$ 亦是等腰三角形。 ![]() 圖 13 的直線段 $ML=MR=RK$ 長度為 $l$ 單位長, 直線段 $LR$ 有 $x-l$ 單位長。
I. 應用圖 10、 13 的三角形函數關係推演 $\cos 3\theta$ 的三角方程式: $\theta =\frac{\pi}7 $, 第 \eqref{35} 式 為 $\frac{\pi}7$、 $\frac{2\pi}7$、 $\frac{4\pi}7$ 的三角形 $\triangle KLM$ 組建出 $\cos \frac{3\pi}7$ 的一元 3 次實係數方程式。 II. 推演並求解出方程式 \eqref{35} 式型態裡 $\cos \frac{3\pi}7$ 的函數值表示式: 比對檢視方程式 \eqref{35} 式型態與方程式 \eqref{19} 式, 兩者型態完全相等, 所以求解的結 果是所有的 $\cos \frac{\pi}7$、 $\sin \frac{\pi}7$、 $\cos \frac{2\pi}7$、 $\sin \frac{2\pi}7$、 $\cos \frac{3\pi}7$、 $\sin \frac{3\pi}7$ 函數值形式皆完全能依據第 \eqref{20} 式解說推廣運算出的 \eqref{20.3} 式、 \eqref{21.3} 式、 \eqref{22.3} 式、 \eqref{23.3} 式、 \eqref{24.3} 式、 \eqref{25.3} 式合計有 6 個函數值形式結果, 省略運算過程。 以上 (一)、 (二)、 (三)、 (四) 標題內涵的全部推演過程: 是將角度為 $\theta =\frac{\pi}7$、 $2\theta$、 $3\theta $、 $4\theta $、 $5\theta $ 所構造出的 4 種相異三角形 $\triangle ABC$、 $\triangle EFG$、 $\triangle STU$、 $\triangle KLM$ 各自分別組建出 $\cos \frac{\pi}7$、 $\cos \frac{2\pi}7$、 $\cos \frac{3\pi}7$ 的對應一元 3 次三角方程式, 並推廣到每一個三角形所屬的 $\cos \frac{\pi}7$、 $\sin \frac{\pi}7$、 $\cos \frac{2\pi}7$、 $\sin \frac{2\pi}7$、 $\cos \frac{3\pi}7$、 $\sin \frac{3\pi}7$ 的函數值表示式。 這些函數值表示式分別都含有 $[(1+3\sqrt{3}i)^{1/3}+(1-3\sqrt{3}i)^{1/3} ]_1$ 項式, 或是 $[(1+3\sqrt{3}i)^{1/3}+(1-3\sqrt{3}i)^{1/3} ]_2$ 或 $[(1+3\sqrt{3}i)^{1/3}+(1-3\sqrt{3}i)^{1/3} ]_3$ 項式。 二、 探索數學式 $[(1+3\sqrt{3}i)^{1/3}+(1-3\sqrt{3}i)^{1/3} ]$ 實數值的身分數學式 $[(1+3\sqrt{3}i)^{1/3}+(1-3\sqrt{3}i)^{1/3} ]$ 表示的是 3 個無理數, 各個都無法以有限的數字或簡單的根式或分數形式來表明其實數值; 一般都是使用計算機或設計數學程式來計算其近似值。 即使如此, 在作數值探討推演時發現到: 這 3 個相異無理數的特定組合效果都能形成有限的數字或簡單的根式或分數式。 (一) 當 $k=1,2,3$, 每一個無理數 $[(1+3\sqrt{3}i)^{1/3}+(1-3\sqrt{3}i)^{1/3} ]_k$ 都具有無限小數的數值形式, 求出這 3 個無理數值: I. 第1個無理數 $[(1+3\sqrt{3}i)^{1/3}+(1-3\sqrt{3}i)^{1/3} ]_1$ 有著無限小數的數值形式; 由推演出的 $$ \cos \frac\pi 7=\frac 16-\frac 16 \big(\frac 72\big)^{1/3}\cdot \big[(1+3\sqrt{3}i)^{1/3}+(1-3\sqrt{3}i)^{1/3}\big]_1.{\rm (4a)} $$可得 \begin{align} \big[(1+3\sqrt{3}i)^{1/3}+(1-3\sqrt{3}i)^{1/3}\big]_1=\big(\frac 27\big)^{1/3}\big(1-6\cos \frac \pi 7\big),\label{36} \end{align}第 \eqref{36} 式內涵為第 1 個無理數的代數式表徵形式。 查三角函數值表, 知 $\cos \frac \pi 7=0.90096886\cdots$, 計算 $\big(\frac 27\big)^{1/3}=0.6586335\cdots$, 兩者皆為無限小數, 加入計算後, 可得 \begin{align} \big[(1+3\sqrt{3}i)^{1/3}+(1-3\sqrt{3}i)^{1/3}\big]_1=-2.901816\cdots,\label{37} \end{align}第 \eqref{37} 式表明 $[(1+3\sqrt{3}i)^{1/3}+(1-3\sqrt{3}i)^{1/3} ]_1$ 是個擁有無限小數的無理數。 II. 計算第 2 個無理數 $[(1+3\sqrt{3}i)^{1/3}+(1-3\sqrt{3}i)^{1/3} ]_2= ?$ 由推演出的 $$ \cos \frac{2\pi}7=-\frac 16+\frac 16 \big(\frac 72\big)^{1/3}\cdot [(1+3\sqrt{3}i)^{1/3}+(1-3\sqrt{3}i)^{1/3} ]_2.{(13b)} $$可得 \begin{align} [(1+3\sqrt{3}i)^{1/3}+(1-3\sqrt{3}i)^{1/3} ]_2=\big(\frac 27\big)^{1/3}\cdot (1+6\cos \frac{2\pi}7),\label{38} \end{align}第 \eqref{38} 式內涵為第 2 個無理數的代數式表徵形式。 查三角函數值表, 知 $\cos \frac{2\pi}7=0.623489801\cdots$, $\big(\frac 27\big)^{1/3}=0.6586335\cdots$, 一起加入計算後, 得 \begin{align} [(1+3\sqrt{3}i)^{1/3}+(1-3\sqrt{3}i)^{1/3} ]_2=3.122541\cdots.\label{39} \end{align}第 \eqref{39} 式表明 $[(1+3\sqrt{3}i)^{1/3}+(1-3\sqrt{3}i)^{1/3} ]_2$ 是個擁有無限小數的無理數。 III. 計算第 3 個無理數 $[(1+3\sqrt{3}i)^{1/3}+(1-3\sqrt{3}i)^{1/3} ]_3= ?$ 由推演出的 $$\cos \frac{3\pi}7=\frac 16-\frac 16 \big(\frac 72\big)^{1/3}\cdot [(1+3\sqrt{3}i)^{1/3}+(1-3\sqrt{3}i)^{1/3} ]_3.{\rm (20c)}$$可得 \begin{align} [(1+3\sqrt{3}i)^{1/3}+(1-3\sqrt{3}i)^{1/3} ]_3=\big(\frac 27\big)^{1/3}\cdot (1-6\cos \frac{3\pi}7),\label{40} \end{align}第 \eqref{40} 式內涵為第3個無理數的代數式表徵形式。 查三角函數值表, 知 $\cos \frac{3\pi}7\!=\!0.22252093\cdots$, $\big(\frac 27\big)^{1/3}\!\!=\!0.6586335\cdots$, 再加入計算後, 得 \begin{align} [(1+3\sqrt{3}i)^{1/3}+(1-3\sqrt{3}i)^{1/3} ]_3=-0.220725\cdots.\label{41} \end{align}第 \eqref{41} 式表明 $[(1+3\sqrt{3}i)^{1/3}+(1-3\sqrt{3}i)^{1/3} ]_3$ 是個擁有無限小數的無理數。 由這 I.、 II.、 III. 的 3 階段部分演示結果得到這 3 個相異無理數的和恰為 0, 意即有 \begin{align} &\hskip -25pt \sum_{k=1}^3 [(1+3\sqrt{3}i)^{1/3}+(1-3\sqrt{3}i)^{1/3} ]_k =(-2.901816\cdots)+(3.122541\cdots)+(-0.220725\cdots)=0.\label{42} \end{align}IV. 每一個 $\cos \frac{\pi}7$、 $\sin \frac{\pi}7$、 $\cos \frac{2\pi}7$、 $\sin \frac{2\pi}7$、 $\cos\frac{3\pi}7$、 $\sin\frac{3\pi}7$ 函數值形式都至少有 3 個完全相等的 3 相連等式: 例如綜合前述推理運算的所有結果, 可彙集整理為 $$\hbox{(a)}\quad \cos \frac\pi 7=\frac 16-\frac 16 \big(\frac 72\big)^{1/3}\cdot \big[(1+3\sqrt{3}i)^{1/3}+(1-3\sqrt{3}i)^{1/3}\big]_1. \hskip 2.9cm~{\rm (4a)}$$ $$=\sqrt{\frac 5{12}+\frac 1{12} \big(\frac 72\big)^{1/3}\cdot [(1+3\sqrt{3} i)^{1/3}+(1-3\sqrt{3}i)^{1/3} ]_2},\hskip 1.8cm~{\rm (14b)}$$ $$=\sqrt{\frac 12 \Big(1+\sqrt{\frac 5{12}+\frac 1{12} \big(\frac 72\big)^{1/3}\cdot [(1+3\sqrt{3}i)^{1/3}+(1-3\sqrt{3}i)^{1/3} ]_3}\Big)},{\rm (23c)}$$ $$\hbox{(b)}\ \sin \frac{\pi}7 \!=\!\!\sqrt{\frac 12\!\Bigg[\!1\!\!-\!\sqrt{\frac 12 \!\Bigg(\!1\!-\!\sqrt{\frac 5{12}\!+\!\frac 1{12} \!\big(\!\frac 72\!\big)^{1/3}\!\cdot\! \big[\!(1\!+\!3\sqrt{3}i)^{1/3}\!\!+\!(1\!-\!3\sqrt{3}i)^{1/3}\!\big]_1}\!\Bigg)\!}\!\Bigg]\!},{\rm (9a)}$$ $$=\sqrt{\frac 7{12}-\frac 1{12} \big(\frac 72\big)^{1/3}\cdot [(1+3\sqrt{3} i)^{1/3}+(1-3\sqrt{3} i)^{1/3}]_2},\hskip 1.7cm~{\rm (15b)}$$ $$=\sqrt{\frac 12 \Big(1-\sqrt{\frac 5{12}+\frac 1{12} \big(\frac 72\big)^{1/3}\cdot [(1+3\sqrt{3}i)^{1/3}+(1-3\sqrt{3}i)^{1/3} ]_3}\Big)}, {\rm (24c)}$$(c) 另 $\cos \frac{2\pi}7$、 $\sin \frac{2\pi}7$、 $\cos \frac{3\pi}7$、 $\sin \frac{3\pi}7$ 等也有 3 個完全相等的類似 3 相連等式。 (二) 以數學式 $[(1+3\sqrt{3} i)^{1/3}+(1-3\sqrt{3} i)^{1/3}]$ 組建的相關 3 次方程式: \begin{align} \nonumber \hbox{設定實數} x=(1+3\sqrt{3} i)^{1/3}+(1-3\sqrt{3} i)^{1/3},\\ \nonumber \hbox{則 } x^3=(1+3\sqrt{3} i)+3(1+3\sqrt{3} i)^{2/3}\cdot (1-3\sqrt{3} i)^{1/3}\\ \nonumber +3(1+3\sqrt{3} i)^{1/3}\cdot (1-3\sqrt{3} i)^{2/3}+\cdot (1-3\sqrt{3} i)\\ \nonumber =2+3\cdot (28)^{1/3}[(1+3\sqrt{3} i)^{1/3}+(1-3\sqrt{3} i)^{1/3}]=2+3\cdot (28)^{1/3}\cdot x,\\ \hbox{得 } x^3-3\cdot (28)^{1/3}\cdot x-2=0,\label{43} \end{align}第 \eqref{43} 式表明由 $[(1+3\sqrt{3} i)^{1/3}+(1-3\sqrt{3} i)^{1/3}]$ 組建的一元 3 次方程式。
令 $f(x)=x^3-3\cdot (28)^{1/3}\cdot x-2=0$ 的 3 個根分別為 $x_1 , x_2 , x_3 $, 則 因此確定了同一型代數式 $[(1+3\sqrt{3} i)^{1/3}+(1-3\sqrt{3} i)^{1/3}]$ 在不同的數學等式中呈現出 3 個相異的無理數數值, 例如 \eqref{4.1} 式、 \eqref{14.2} 式、 \eqref{23.3} 式形式與 \eqref{9.1} 式、 \eqref{15.2} 式、 \eqref{24.3} 式形式的 3 聯等式。 三、 探索數學式 $[(a+bi)^{1/3}+(a-bi)^{1/3} ]$ 組建一元 3 次方程式, $a$ 與 $b$ 為實數, $ab\not=0$, 複數 $\sqrt{-1}=i$, 及此一元 3次方程式 3 個數值解的組合性質I. 設定 $x=(a+bi)^{1/3}+(a-bi)^{1/3} $, $ab\not=0$, 複數 $\sqrt{-1}=i$, 則 \begin{align} \nonumber x^3=(a+bi)+3(a+bi)^{2/3}\cdot (a-bi)^{1/3}+3(a+bi)^{1/3}\cdot (a-bi)^{2/3}+(a-bi)\\ \nonumber =2a+3\cdot (a^2+b^2)^{1/3}\cdot [(a+bi)^{1/3}+(a-bi)^{1/3} ]=2+3\cdot (a^2+b^2 )^{1/3}\cdot x ,\\ \hbox{得 } x^3-3\cdot (a^2+b^2 )^{1/3}\cdot x-2a=0 ,\label{44} \end{align}第 \eqref{44} 式表明由 $[(a+bi)^{1/3}+(a-bi)^{1/3}]$ 組建的一元 3 次方程式。 II. 這第 \eqref{44} 式表徵的一元 3 次方程式其 3 個數值解的組合關係性質; 令 $x^3-3\cdot (a^2+b^2 )^{1/3}\cdot x-2a=0$ 的 3 個根分別為 $x_1 , x_2 , x_3 $, 則 \begin{align*} &\hskip -20pt x^3-3\cdot (a^2+b^2 )^{1/3}\cdot x-2a=(x-x_1)(x-x_2)(x-x_3)\\ =\,&x^3-(x_1+x_2+x_3)x^2+(x_1x_2+x_2x_3+x_3x_1)x-x_1x_2x_3, \end{align*}比較 $x$ 同次數對應項係數的關係, 可得 \begin{align} &x_1+x_2+x_3=0,\label{44.1}\\ {\hbox{ 與 }} &x_1x_2+x_2x_3+x_3x_1=-3(a^2+b^2)^{1/3},\label{44.2}\\ {\hbox{ 及 }} &x_1x_2x_3=2a,\label{44.3}\\ {\hbox{ 因為 }} &x_1=(a+bi)^{1/3}+(a-bi)^{1/3}=[(a+bi)^{1/3}+(a-bi)^{1/3}]_1,\label{44.4}\\ &x_2=\omega(a+bi)^{1/3}+\omega^2(a-bi)^{1/3}=[(a+bi)^{1/3}+(a-bi)^{1/3}]_2,\label{44.5}\\ &x_3=\omega^2(a+bi)^{1/3}+\omega(a-bi)^{1/3}=[(a+bi)^{1/3}+(a-bi)^{1/3}]_3,\label{44.6} \end{align}其中 $\omega =\frac{-1+\sqrt{3}i}2=1^{1/3}$, $\omega ^2=\frac{-1-\sqrt{3}i}2=1^{2/3}$, $\omega ^2+\omega +1=0 $。 這 \eqref{44.1} 式、 \eqref{44.2} 式、 \eqref{44.3} 式特別表明了 3 個數值解 $x_1,x_2, x_3$ 的組合關係性質。 這也有效證明了 \eqref{42} 式形式的計算結果。 四、 演算數學式 $\cos^2\frac{\pi}{7}\cdot \cos^2\frac{2\pi}{7}\cdot\cos^2\frac{3\pi}{7}=?$ 與 $\sin^2\frac{\pi}{7}\cdot \sin^2\frac{2\pi}{7}\cdot\sin^2\frac{3\pi}{7}=?$I. $$\hbox{由}\quad \cos^2 \frac \pi 7=\frac 5{12}+\frac 1{12} \big(\frac 72\big)^{1/3}\cdot [(1+3\sqrt{3} i)^{1/3}+(1-3\sqrt{3}i)^{1/3} ]_2,{\rm (14b)}$$ $$\hbox{與}\quad \cos^2 \frac{2\pi}7=\frac 5{12}+\frac 1{12} \big(\frac 72\big)^{1/3}\cdot [(1+3\sqrt 3 i)^{1/3}+(1-3\sqrt 3 i)^{1/3} ]_3,{\rm (21c)}$$ $$\hbox{及}\quad \cos^2\frac{3\pi}{7}=\frac 5{12}+\frac 1{12} \big(\frac 72\big)^{1/3}\cdot \big[(1+3\sqrt{3}i)^{1/3}+(1-3\sqrt{3}i)^{1/3}\big]_1,{\rm (5a)}$$(a) 令 $\cos^2\frac{\pi}{7}=g+hx_2$, $\cos^2\frac{2\pi}{7}=g+hx_3$, $\cos^2\frac{3\pi}{7}=g+hx_1$, 則 \begin{align*} &\hskip -20pt \cos^2\frac{\pi}{7}\cdot \cos^2\frac{2\pi}{7}\cdot\cos^2\frac{3\pi}{7}=(g+hx_2)(g+hx_3)(g+hx_1)\\ =\,&g^3+g^2h(x_1+x_2+x_3)+gh^2(x_1x_2+x_2x_3+x_3x_1)+h^3(x_1x_2x_3). \end{align*}(b) 當 $a=1$, $b=3\sqrt{3}$, 由 \eqref{44.1} 式、 \eqref{44.2} 式、 \eqref{44.3} 式、 \eqref{44.4} 式、 \eqref{44.5} 式、 \eqref{44.6} 式同步代入 $\cos^2\frac{\pi}{7}\cdot \cos^2\frac{2\pi}{7}\cdot\cos^2\frac{3\pi}{7}$ 的等式中, 逐步作運算, 得 \begin{align*} &\hskip -20pt \cos^2\frac{\pi}{7}\cdot \cos^2\frac{2\pi}{7}\cdot\cos^2\frac{3\pi}{7}=g^3+0+gh^2\cdot (-3)\cdot (a^2+b^2)^{1/3}+h^3\cdot 2a\\ =\,&\big(\frac 5{12}\big)^3+\frac 5{12}\Big[\frac 1{12} \big(\frac 72\big)^{1/3}\Big]^2\cdot (-3)\cdot (28)^{1/3}+\big(\frac 1{12}\big)^3\cdot \frac 72\cdot 2\\ =\,&\big(\frac 5{12}\big)^3-\frac 5{12}\cdot \frac 1{12^2}\cdot \big(\frac {49}4\big)^{1/3}\cdot 3\cdot (28)^{1/3}+\big(\frac 1{12}\big)^3\cdot 7\\ =\,&\big(\frac 5{12}\big)^3-\frac 5{12^3}\cdot 7 \cdot 3+\frac 7{12^3}=\frac{125-105+7}{12^3}=\frac{27}{12^3}=\frac 1{64}. \end{align*}因而演算得到 $\cos^2\frac{\pi}{7}\cdot \cos^2\frac{2\pi}{7}\cdot\cos^2\frac{3\pi}{7}=\frac 1{64}$, 得出精簡數字 $\frac 1{64}$。 從而再得出 $\cos\frac{\pi}{7}\cdot \cos\frac{2\pi}{7}\cdot\cos\frac{3\pi}{7}=\frac 1{8}$ 。 II. $$\hbox{由}\quad \sin^2 \frac \pi 7=\frac 7{12}-\frac 1{12} \big(\frac 72\big)^{1/3}\cdot [(1+3\sqrt{3} i)^{1/3}+(1-3\sqrt{3} i)^{1/3}]_2, {\rm (15b)}$$ $$~\qquad \sin^2 \frac{2\pi}7=\frac 7{12}-\frac 1{12} \big(\frac 72\big)^{1/3}\cdot [(1+3\sqrt 3 i)^{1/3}+(1-3\sqrt 3 i)^{1/3} ]_3, {\rm (22c)}$$ $$~\qquad \sin^2 \frac{3\pi}7=\frac 7{12}-\frac 1{12} \big(\frac 72\big)^{1/3}\cdot\big[(1+3\sqrt{3}i)^{1/3}+(1-3\sqrt{3}i)^{1/3}\big]_1.{\rm (6a)}$$(a) 令 $\sin^2\frac{\pi}{7}=p-hx_2$, $\sin^2\frac{2\pi}{7}=p-hx_3$, $\sin^2\frac{3\pi}{7}=p-hx_1$, 則 \begin{align*} &\hskip -20pt \sin^2\frac{\pi}{7}\cdot \sin^2\frac{2\pi}{7}\cdot\sin^2\frac{3\pi}{7}=(p-hx_2)(p-hx_3)(p-hx_1)\\ =\,&p^3-p^2h(x_1+x_2+x_3)+ph^2(x_1x_2+x_2x_3+x_3x_1)-h^3(x_1x_2x_3). \end{align*}(b) 當 $a=1$, $b=3\sqrt{3}$, 由 \eqref{44.1} 式、 \eqref{44.2} 式、 \eqref{44.3} 式、 \eqref{44.4} 式、 \eqref{44.5} 式、 \eqref{44.6} 式同步代入 $\sin^2\frac{\pi}{7}\cdot \sin^2\frac{2\pi}{7}\cdot\sin^2\frac{3\pi}{7}$ 的等式中, 逐步作運算, 得 \begin{align*} &\hskip -20pt \sin^2\frac{\pi}{7}\cdot \sin^2\frac{2\pi}{7}\cdot\sin^2\frac{3\pi}{7}=p^3-0+ph^2\cdot (-3)\cdot (a^2+b^2)^{1/3}+h^3\cdot 2a\\ =\,&\big(\frac 7{12}\big)^3+\frac 7{12}\Big[\frac 1{12} \big(\frac 72\big)^{1/3}\Big]^2\cdot (-3)\cdot (28)^{1/3}-\big(\frac 1{12}\big)^3\cdot \frac 72\cdot 2\\ =\,&\big(\frac 7{12}\big)^3-\frac 7{12}\cdot \frac 1{12^2}\cdot \big(\frac {49}4\big)^{1/3}\cdot 3\cdot (28)^{1/3}-\big(\frac 1{12}\big)^3\cdot 7\\ =\,&\big(\frac 7{12}\big)^3-\frac 7{12^3}\cdot 7 \cdot 3-\frac 7{12^3}=\frac{343-147-7}{12^3}=\frac{189}{12^3}=\frac 7{64}. \end{align*}由複雜演算得到 $\sin^2\frac{\pi}{7}\cdot \sin^2\frac{2\pi}{7}\cdot\sin^2\frac{3\pi}{7}=\frac 7{64}$ 得出精簡數字 $\frac 7{64}$ 。 從而再得出 $\sin\frac{\pi}{7}\cdot \sin\frac{2\pi}{7}\cdot\sin\frac{3\pi}{7}=\frac {\sqrt 7}{8}$。 五、 推演證明三角函數恆等式的 $\sin(7\theta)$ 表示式\begin{align*} \sin(7\theta)=\,&7\cos^6\theta\cdot \sin\theta-35\cos^4\theta\cdot \sin^3\theta+21\cos^2\theta\cdot \sin^5\theta-\sin^7\theta\\ =\,&2^6\cdot\prod_{k=1}^7\sin\Big(\frac{(k-1)\pi}{7}+\theta\Big). \end{align*}(一) 首先來觀察演算這等式內涵裡的連乘積項式 \begin{align} &\hskip -20pt \nonumber \prod_{k=1}^7\sin\Big(\frac{(k-1)\pi}{7}+\theta\Big)\\\nonumber =\,&\sin\theta\!\sin\Big(\frac{\pi}7\!+\!\theta\Big)\!\sin\Big(\frac{2\pi}7\!+\!\theta\Big)\!\sin\Big(\frac{3\pi}7 \!+\!\theta\Big)\!\sin\Big(\frac{4\pi}7\!+\!\theta\Big)\!\sin\Big(\frac{5\pi}7\!+\!\theta\Big)\!\sin\Big(\frac{6\pi}7\!+\!\theta\Big),\\\nonumber \hbox{得}\ &\sin\Big(\frac{\pi}7\!+\!\theta\Big)\!\sin\Big(\frac{2\pi}7\!+\!\theta\Big) \!\sin\Big(\frac{3\pi}7\!+\!\theta\Big)\!\sin\Big(\frac{4\pi}7\!+\!\theta\Big)\!\sin\Big(\frac{5\pi}7\!+\!\theta\Big)\!\sin\Big(\frac{6\pi}7\!+\!\theta\Big)\\\nonumber =\,&\Big[\sin\Big(\frac{\pi}7\!+\!\theta\Big)\!\sin\Big(\frac{6\pi}7\!+\!\theta\Big)\Big] \Big[\sin\Big(\frac{2\pi}7\!+\!\theta\Big)\!\sin\Big(\frac{5\pi}7\!+\!\theta\Big)\Big] \Big[\sin\Big(\frac{3\pi}7\!+\!\theta\Big)\!\sin\Big(\frac{4\pi}7\!+\!\theta\Big)\Big]\\\nonumber =\,&\Big[\sin^2\frac{\pi}7\cdot\cos^2\theta-\cos^2\frac{\pi}7\cdot\sin^2\theta\Big]\cdot \Big[\sin^2\frac{2\pi}7\cdot\cos^2\theta-\cos^2\frac{2\pi}7\cdot\sin^2\theta\Big]\\\nonumber &\cdot \Big[\sin^2\frac{3\pi}7\cdot\cos^2\theta-\cos^2\frac{3\pi}7\cdot\sin^2\theta\Big]\\\nonumber =\,&\sin^2\frac{\pi}7\sin^2\frac{2\pi}7\sin^2\frac{3\pi}7\cos^6\theta -\Big(\sin^2\frac{\pi}7\sin^2\frac{2\pi}7\cos^2\frac{3\pi}7+ \sin^2\frac{\pi}7\cos^2\frac{2\pi}7\sin^2\frac{3\pi}7\\\nonumber &+\cos^2\frac{\pi}7\sin^2\frac{2\pi}7\sin^2\frac{3\pi}7\Big)\cos^4\theta\sin^2\theta+\Big(\sin^2\frac{\pi}7\cos^2\frac{2\pi}7\cos^2\frac{3\pi}7\\\nonumber &+\cos^2\frac{\pi}7\sin^2\frac{2\pi}7\cos^2\frac{3\pi}7+\cos^2\frac{\pi}7\cos^2\frac{2\pi}7\sin^2\frac{3\pi}7\Big)\cos^2\theta\sin^4\theta\\ &-\cos^2\frac{\pi}7\cos^2\frac{2\pi}7\cos^2\frac{3\pi}7\sin^6\theta =\prod_{k=2}^7\sin\Big(\frac{(k-1)\pi}{7}+\theta\Big),\label{45} \end{align}(二) 第 \eqref{45} 式形式的第 2 項有內涵式: $$\sin^2\frac{\pi}7\sin^2\frac{2\pi}7\cos^2\frac{3\pi}7+\sin^2\frac{\pi}7\cos^2\frac{2\pi}7\sin^2\frac{3\pi}7+ \cos^2\frac{\pi}7\sin^2\frac{2\pi}7\sin^2\frac{3\pi}7=?$$I. 演算其第 1 項, 得 \begin{align*} &\hskip -20pt \sin^2\frac{\pi}7\cdot\sin^2 \frac{2\pi}7\cdot\cos^2\frac{3\pi}7 =(p-hx_2 )(p-hx_3 )(g+hx_1 )\\ =\,&p^2 g+p^2 hx_1-pghx_3-ph^2 x_3 x_1-pghx_2-ph^2 x_1 x_2+gh^2 x_2 x_3+h^3 x_1 x_2 x_3\\ =\,&p^2 g+ph(px_1-gx_2-gx_3 )+h^2 (-px_1 x_2+gx_2 x_3-px_3 x_1 )+h^3 x_1 x_2 x_3. \end{align*}II. 演算其第 2 項, 得 \begin{align*} &\hskip -20pt \sin^2\frac{\pi}7\cdot\cos^2 \frac{2\pi}7\cdot\sin^2\frac{3\pi}7 =(p-hx_2)(g+hx_3 )(p-hx_1 )\\ =\,&p^2 g+p^2 hx_3-pghx_2-ph^2 x_2 x_3-pghx_1-ph^2 x_3 x_1+gh^2 x_1 x_2+h^3 x_1 x_2 x_3\\ =\,&p^2 g+ph(px_3-gx_2-gx_1 )+h^2 (gx_1 x_2-px_2 x_3-px_3 x_1 )+h^3 x_1 x_2 x_3. \end{align*}III. 演算其第 3 項, 得 \begin{align*} &\hskip -20pt \cos^2\frac{\pi}7\cdot\sin^2 \frac{2\pi}7\cdot\sin^2\frac{3\pi}7 =(g+hx_2)(p-hx_3 )(p-hx_1 )\\ =\,&p^2 g-pg hx_1-pghx_3+gh^2 x_3 x_1+p^2hx_2-ph^2 x_1 x_2-ph^2 x_2 x_3+h^3 x_1 x_2 x_3\\ =\,&p^2 g+ph(-gx_1-gx_3+px_2)+h^2 (gx_3 x_1-px_1 x_2-px_2 x_3)+h^3 x_1 x_2 x_3. \end{align*}IV. 整合起來, 可得 \begin{align*} &\hskip -20pt \sin^2\frac{\pi}7\sin^2\frac{2\pi}7\cos^2\frac{3\pi}7+\sin^2\frac{\pi}7\cos^2\frac{2\pi}7\sin^2\frac{3\pi}7+ \cos^2\frac{\pi}7\sin^2\frac{2\pi}7\sin^2\frac{3\pi}7\\ =\,&3p^2 g+ph[p(x_1+x_2+x_3)-2g(x_1+x_2+x_3)]+h^2[g(x_1x_2+x_2x_3+x_3x_1)\\ &-2p(x_1x_2+x_2x_3+x_3x_1)]+3h^3 x_1 x_2 x_3\\ =\,&3p^2 g\!+\!ph[(p\!-\!2g)(x_1\!+\!x_2\!+\!x_3)]\!+\!h^2[(g\!-\!2p)(x_1x_2\!+\!x_2x_3\!+\!x_3x_1)]\!+\!3h^3 x_1 x_2 x_3\\ =\,&3\Big(\frac 7{12}\Big)^2\!\cdot \! \frac 5{12} \!+\!0\!+\!\Big[\frac 1{12} \Big(\frac 72\Big)^{1/3} \Big]^2\!\cdot \! \Big[\Big(\frac 5{12} \!-\!\frac {14}{12} \Big) \!\cdot \! (-3)\!\cdot \! \big(28\big)^{1/3} \Big]\!+\!3\!\cdot \! \Big(\frac 1{12}\Big)^3\!\cdot \! \frac 72\!\cdot \! 2\\ =\,&3\Big(\frac 1{12}\Big)^3\cdot 5\cdot 7^2+\Big(\frac 1{12}\Big)^3\cdot 7\cdot 27+\Big(\frac 1{12}\Big)^3\cdot 3\cdot 7\\ =\,&\Big(\frac 1{12}\Big)^3\cdot (3\cdot 5\cdot 7^2+7\cdot 27+3\cdot 7)=\Big(\frac 1{12}\Big)^3\cdot 7\cdot 135=\Big(\frac 1{12}\Big)^3\cdot 3^3\cdot 35 =\frac{35}{64}, \end{align*}(三) 第 \eqref{45} 式形式的第 3 項有內涵式: $$\sin^2\frac{\pi}7\cos^2\frac{2\pi}7\cos^2\frac{3\pi}7+\cos^2\frac{\pi}7\sin^2\frac{2\pi}7\cos^2\frac{3\pi}7+ \cos^2\frac{\pi}7\cos^2\frac{2\pi}7\sin^2\frac{3\pi}7=?$$I. 演算其第 1 項, 得 \begin{align*} &\hskip -20pt \sin^2\frac{\pi}7\cdot\cos^2 \frac{2\pi}7\cdot\cos^2\frac{3\pi}7 =(p-hx_2 )(g+hx_3 )(g+hx_1 )\\ =\,&pg^2-g^2 hx_2+pghx_3-gh^2 x_2 x_3+pghx_1+ph^2 x_3 x_1-gh^2 x_1 x_2-h^3 x_1 x_2 x_3\\ =\,&pg^2+gh(px_1-gx_2+px_3 )-h^2 (gx_1 x_2+gx_2 x_3-px_3 x_1 )-h^3 x_1 x_2 x_3. \end{align*}II. 演算其第 2 項, 得 \begin{align*} &\hskip -20pt \cos^2\frac{\pi}7\cdot\sin^2 \frac{2\pi}7\cdot\cos^2\frac{3\pi}7 =(g+hx_2)(p-hx_3)(g+hx_1 )\\ =\,&pg^2-g^2 hx_3+pghx_2-gh^2 x_2 x_3+pghx_1-gh^2 x_3 x_1+ph^2 x_1 x_2-h^3 x_1 x_2 x_3\\ =\,&pg^2+gh(px_1+px_2-gx_3 )-h^2 (-px_1 x_2+gx_2 x_3+gx_3 x_1 )-h^3 x_1 x_2 x_3. \end{align*}III. 演算其第 3 項, 得 \begin{align*} &\hskip -20pt \cos^2\frac{\pi}7\cdot\cos^2 \frac{2\pi}7\cdot\sin^2\frac{3\pi}7 =(g+hx_2)(g+hx_3)(p-hx_1 )\\ =\,&pg^2+pghx_2+pghx_3+ph^2 x_2 x_3-g^2hx_1-gh^2x_1 x_2-gh^2 x_3 x_1-h^3 x_1 x_2 x_3\\ =\,&pg^2+gh(-gx_1+px_2+px_3 )-h^2 (gx_1 x_2-px_2 x_3+gx_3 x_1 )-h^3 x_1 x_2 x_3. \end{align*}IV. 整合起來, 可得 \begin{align*} &\hskip -20pt \sin^2\frac{\pi}7\cos^2\frac{2\pi}7\cos^2\frac{3\pi}7+\cos^2\frac{\pi}7\sin^2\frac{2\pi}7\cos^2\frac{3\pi}7+ \cos^2\frac{\pi}7\cos^2\frac{2\pi}7\sin^2\frac{3\pi}7\\ =\,&3pg^2+gh[2p(x_1+x_2+x_3)-g(x_1+x_2+x_3)]-h^2[2g(x_1x_2+x_2x_3+x_3x_1)\\ &-p(x_1x_2+x_2x_3+x_3x_1)]-3h^3 x_1 x_2 x_3\\ =\,&3pg^2\!+\!gh[(2p\!-\!g)(x_1\!+\!x_2\!+\!x_3)]\!-\!h^2[(2g\!-\!p)(x_1x_2\!+\!x_2x_3\!+\!x_3x_1)]\!-\!3h^3 x_1 x_2 x_3\\ =\,&3\!\cdot\! \frac 7{12}\!\cdot \! \Big(\frac 5{12}\Big)^2 \!+\!0\!-\!\Big[\frac 1{12} \Big(\frac 72\Big)^{1/3} \Big]^2\!\cdot \! \Big[\Big(\frac {10}{12} \!-\!\frac {7}{12} \Big) \!\cdot \! (-3)\!\cdot \! \big(28\big)^{1/3} \Big]\!-\!3\!\cdot \! \Big(\frac 1{12}\Big)^3\!\cdot \! \frac 72\!\cdot \! 2\\ =\,&\Big(\frac 1{12}\Big)^3\cdot 75\cdot 7+\Big(\frac 1{12}\Big)^3\cdot 7\cdot 9-\Big(\frac 1{12}\Big)^3\cdot 3\cdot 7\\ =\,&\Big(\frac 1{12}\Big)^3\cdot (75\cdot 7+7\cdot 9-3\cdot 7)=\Big(\frac 1{12}\Big)^3\cdot 7\cdot 81=\Big(\frac 1{12}\Big)^3\cdot 3^3\cdot 21 =\frac{21}{64}, \end{align*}(四) 第 \eqref{45} 式形式的每一項式數值都分別被推演計算出來了, 得第 \eqref{45} 式形式轉換成為 \begin{align*} \prod_{k=2}^7\sin\Big(\frac{(k\!-\!1)\pi}{7}\!+\!\theta\Big) \!=\!\frac 7{64}\cos^6\theta\!-\!\frac {35}{64}\cos^4\theta\cdot \sin^2\theta\!+\!\frac {21}{64}\cos^2\theta\cdot \sin^4\theta\!-\!\frac {1}{64}\sin^6\theta, \end{align*}且 $2^6=64$, 因為 $2^6\cdot \prod_{k=1}^7\sin\Big(\frac{(k-1)\pi}{7}+\theta\Big)=2^6\cdot \sin\theta\cdot\prod_{k=2}^7\sin\Big(\frac{(k-1)\pi}{7}+\theta\Big)$, 從而得出 \begin{align} \nonumber 2^6\cdot \prod_{k=1}^7\sin\Big(\frac{(k-1)\pi}{7}+\theta\Big) =\,&7\cos^6\theta\sin\theta\!-\!35\cos^4\theta\cdot \sin^3\theta\!+\!21\cos^2\theta\cdot \sin^5\theta\!-\!\sin^7\theta\\ =\,&\sin(7\theta),\label{46} \end{align}另 $\sin (7\theta )=7\cos^6\theta \cdot \sin \theta -35\cos^4\theta \cdot \sin^3\theta +21\cos^2\theta \cdot \sin^5\theta -\sin^7\theta$, 這等式很容易證明, 省略其驗證過程。 第 \eqref{46} 式形式3連續等式就是 $\sin (7\theta )$ 恆等式且其內容又包含了連乘積式。 六、 應用 $\sin (7\theta )$ 展開式以推演求解 $\sin \frac {\pi} 7= ?$\begin{align*} \hbox{由}\quad \sin (7\theta )=\,&7\cos^6\theta \cdot\sin \theta -35\cos^4\theta \cdot \sin^3\theta +21\cos^2\theta \cdot \sin^5\theta -\sin^7\theta\hskip .5cm~\\ =\,&7(1-\sin^2\theta)^3\cdot\sin \theta -35(1-\sin^2\theta )^2\cdot \sin^3\theta\\ &+21(1-\sin^2\theta )\cdot \sin^5 \theta -\sin^7\theta\\ =\,&\sin \theta \cdot (7-56 \sin^2\theta +112 \sin^4\theta -64 \sin^6\theta ) , \end{align*}若設定 $7\theta =\pi $, 則 $\theta =\frac {\pi} 7$, 且 $ \sin (7\theta )=\sin \pi =0 $, 與 $\sin \frac {\pi} 7\not=0$, 得 \begin{align} \sin ^6\frac {\pi} 7-\frac 74\sin ^4\frac {\pi} 7+\frac 78\sin^2\frac {\pi} 7-\frac 7{64}=0,\label{47} \end{align}第 \eqref{47} 式形式即為 $\sin^2\frac{\pi}7$ 的 3 次方程式; 令 $\sin^2\frac{\pi}7=y$, 原式迅速轉換為 $y^3-\frac 74y^2+\frac 78y-\frac 7{64}=0$, 將前 2 項形式適當配置成 3 次方以隱藏 $y^2$ 項, 得 \begin{align*} &\hskip -20pt y^3-3y^2\cdot \frac 7{12}+3y\cdot\Big(\frac 7{12}\Big)^2-\Big(\frac 7{12}\Big)^3+\frac 78y-\frac 7{64}-3y\Big(\frac 7{12}\Big)^2+\Big(\frac 7{12}\Big)^3\\ =\,&\Big(y-\frac 7{12}\Big)^3-\frac 7{48}\Big(y-\frac 7{12}\Big)-\frac{49}{4\cdot 144}-\frac 7{64}+\Big(\frac 7{12}\Big)^3\\ =\,&\Big(y-\frac 7{12}\Big)^3-\frac 7{48}\Big(y-\frac 7{12}\Big)+\frac 7{12^3}=0, \end{align*}再設定 $y-\frac 7{12}=T$, 即有 $T^3-\frac 7{48}T+\frac 7{12^3}=0$, 解此 $T$ 的方程式; I. 先指定 $T^3-\frac 7{48}T+\frac 7{12^3}=T^3+U^3+V^3-3TUV$, 比較其對應關係, 可得 $UV=\frac 7{144}$ 與 $U^3+V^3=\frac 7{12^3}$, 再得 $U^3+V^3=\frac 7{12^3}$ 與 $U^3V^3=\Big(\frac 7{144}\Big)^3$。 II. 將 $U^3$ 與 $V^3$ 看成兩個數值, 它們恰可組建成 $Z$ 的一元 2 次方程式, 得 $$Z^2-(U^3+V^3)Z+U^3V^3=0=Z^2-\frac 7{12^3}Z+\Big(\frac 7{144}\Big)^3,$$因此, 可得 $Z$ 的 2 個解為 $Z=\frac 12\Big[\frac 7{12^3}\pm\sqrt{\Big(\frac 7{12^3}\Big)^2-4\cdot \Big(\frac 7{144}\Big)^3}\Big]$, 再演算, 得 $$Z=\frac 12\Big[\frac 7{12^3}\pm\frac 7{12^3}\sqrt{1-4\cdot 7}\Big]=\frac 12\cdot \frac 7{12^3}\cdot(1\pm 3\sqrt{3}i).$$III. 因為 $Z$ 的 2 個數值為 $U^3$ 與 $V^3$, 所以 $U^3$ 與 $V^3$ 各自分別表示成 $$U^3=\frac 12\cdot \frac 7{12^3}\cdot(1+ 3\sqrt{3}i), \ \hbox{得}\ U=\frac 1{12}\cdot\big(\frac 72\big)^{1/3}\cdot(1+ 3\sqrt{3}i)^{1/3},$$ $$\hbox{還有}\ V^3=\frac 12\cdot \frac 7{12^3}\cdot(1-3\sqrt{3}i), \ \hbox{得}\ U=\frac 1{12}\cdot\big(\frac 72\big)^{1/3}\cdot(1-3\sqrt{3}i)^{1/3},$$IV. 因為有 $T^3-\frac 7{48}T+\frac 7{12^3}=T^3+U^3+V^3-3TUV$, 可因式分解運算成 $$T^3+U^3+V^3-3TUV=(T+U+V)\cdot(T^2+U^2+V^2=TU-UV-VT)=0,$$得出 $T$ 的一解為 $T=-U-V=-\frac 1{12}\cdot \Big(\frac 72\Big)^{1/3}\big[(1+3\sqrt{3}i)^{1/3}+(1-3\sqrt{3}i)^{1/3} \big]$, 還有 $y=\frac 7{12}=T$ 與 $\sin^2 \frac {\pi}7=y$ 兩設定式, 得出 $\sin^2\frac{\pi}7-\frac 7{12}=T$, 再得到 \begin{align} \nonumber \sin^2 \frac {\pi}7=\,&\frac 7{12}-\frac 1{12}\cdot \Big(\frac 72\Big)^{1/3}\big[(1+3\sqrt{3}i)^{1/3}+(1-3\sqrt{3}i)^{1/3} \big],\\ {\hbox{從而運算出}} \sin\frac {\pi}7=\,&\sqrt{\frac 7{12}-\frac 1{12}\cdot \Big(\frac 72\Big)^{1/3}\big[(1+3\sqrt{3}i)^{1/3}+(1-3\sqrt{3}i)^{1/3} \big]},\label{48} \end{align}事實上, \eqref{48} 式等於 \eqref{15.2} 式, 即 \eqref{48} 式內容裡的 $\big[(1+3\sqrt{3}i)^{1/3}+(1-3\sqrt{3}i)^{1/3} \big]$ 等於 $\big[(1+3\sqrt{3}i)^{1/3}+(1-3\sqrt{3}i)^{1/3} \big]_2$。 這裡是直接應用代數演算法推演出 $\sin\frac{\pi}7$ 的第 \eqref{48} 式, 而不是用三角形圖形法。 七、 應用 $\cos (7\theta )$ 展開式以推演求解 $\cos \frac {\pi} 7= ?$ $\cos \frac {3\pi} 7= ?$ 與 $\cos \frac {2\pi} 7= ?$\begin{align*} &\hskip -20pt \cos (7\theta )+i\sin (7\theta )=(\cos \theta +i\sin\theta)^7\\ =\,&(\cos^7\theta-21\cos^5\theta\cdot\sin^2\theta+35\cos^3\theta\cdot\sin^4\theta-7\cos\theta\cdot\sin^6\theta)\\ &+i(7\cos^6\theta\cdot\sin\theta-35\cos^4\theta\cdot\sin^3\theta+21\cos^2\theta\cdot\sin^5\theta-\sin^7\theta),\\ \hbox{得}\ \cos (7\theta )=\,&\cos^7\theta-21\cos^5\theta\cdot\sin^2\theta+35\cos^3\theta\cdot\sin^4\theta-7\cos\theta\cdot\sin^6\theta\\ =\,&\cos\theta(\cos^6\theta-21\cos^4\theta\cdot\sin^2\theta+35\cos^2\theta\cdot\sin^4\theta-7\sin^6\theta).\\ \end{align*}I. 若設定 $7\theta=\frac{\pi}2$, 則 $\theta=\frac{\pi}{14}$, 且 $\cos (7\theta )=\cos \frac{\pi}2=0$, 與 $\cos\theta=\cos\frac{\pi}{14}\not=0$, 得 \begin{align*} &\hskip -20pt \cos^6\theta-21\cos^4\theta\cdot\sin^2\theta+35\cos^2\theta\cdot\sin^4\theta-7\sin^6\theta\\ =\,&\cos^6\theta-21\cos^4\theta\cdot(1-\cos^2\theta)+35\cos^2\theta\cdot(1-\cos^2\theta)^2-7(1-\cos^2\theta)^3\theta\\ =\,&64\cos^6\theta-112\cos^4\theta+56\cos^2\theta-7=0, \ \hbox{則可得} \end{align*}$64\cos^6\frac{\pi}{14}-112\cos^4\frac{\pi}{14}+56\cos^2\theta-7=0$; 再演算轉換成新型式, 得 \begin{align} \cos^6\frac{\pi}{14}-\frac 74\cos^4\frac{\pi}{14}+\frac 78\cos^2\theta-\frac 7{64}=0,\label{49} \end{align}第 \eqref{49} 式形式即為 $\cos^2\frac{\pi}{14}$ 的 3 次方程式。 第 \eqref{49} 式形式與第 \eqref{47} 式完全相似類同, 只有 $\cos^2\frac{\pi}{14}$ 與 $\sin^2 \frac{\pi}7$ 的區別; 兩者演算方程式法必然相對一致, 今仿效標題六主題內容的運算思維與計算過程, 得 $$\cos^2\frac{\pi}{14}=\frac 7{12}-\frac 1{12}\cdot \Big(\frac 72\Big)^{1/3}\big[(1+3\sqrt{3}i)^{1/3}+(1-3\sqrt{3}i)^{1/3} \big],$$再由 $\cos\frac{\pi}{7}=2\cos^2\frac{\pi}{14}-1$, 可計算出 $\cos\frac{\pi}{7}$ 的表達式形式, 得 \begin{align} \cos\frac{\pi}{7}=\frac 1{6}-\frac 1{6}\cdot \Big(\frac 72\Big)^{1/3}\big[(1+3\sqrt{3}i)^{1/3}+(1-3\sqrt{3}i)^{1/3} \big],\label{50} \end{align}檢視 \eqref{50} 式結果等於 \eqref{4.1} 式, 即 \eqref{50} 式內容裡的 $\big[(1+3\sqrt{3}i)^{1/3}+(1-3\sqrt{3}i)^{1/3} \big]$ 等於 $\big[(1+3\sqrt{3}i)^{1/3}+(1-3\sqrt{3}i)^{1/3} \big]_1$。 接著又可推廣演算出 $\cos \frac{3\pi}7$、 $\sin \frac{3\pi}7$、 $\cos\frac{2\pi}7$、 $\sin \frac{2\pi}7$、 $\sin \frac{\pi}7$ 的各自表達式形式 II. 設定 $7\theta=\frac{3\pi}2$, 則 $\theta=\frac{3\pi}{14}$, 且 $\cos (7\theta )=\cos \frac{3\pi}2=0$, 與 $\cos\theta=\cos\frac{3\pi}{14}\not=0$, 可得 \begin{align} \cos^6\frac{3\pi}{14}-\frac 74\cos^4\frac{3\pi}{14}+\frac 78\cos^2\frac{3\pi}{14}-\frac 7{64}=0,\label{51} \end{align}演算第 \eqref{51} 式, 得 $$\cos^2\frac{3\pi}{14}=\frac 7{12}-\frac 1{12}\cdot \Big(\frac 72\Big)^{1/3}\big[(1+3\sqrt{3}i)^{1/3}+(1-3\sqrt{3}i)^{1/3} \big],$$再由 $\cos \frac{3\pi}7=2 \cos^2\frac{3\pi}{14}-1$, 可計算出 $\cos \frac{3\pi}7$ 的表達式形式, 得 \begin{align} \cos\frac{3\pi}{7}=\frac 1{6}-\frac 1{6}\cdot \Big(\frac 72\Big)^{1/3}\big[(1+3\sqrt{3}i)^{1/3}+(1-3\sqrt{3}i)^{1/3} \big].\label{52} \end{align}檢視 \eqref{52} 式結果等於 \eqref{20.3} 式, 即 \eqref{52} 式內容裡的 $\big[(1+3\sqrt{3}i)^{1/3}+(1-3\sqrt{3}i)^{1/3} \big]$ 等於 $\big[(1+3\sqrt{3}i)^{1/3}+(1-3\sqrt{3}i)^{1/3} \big]_3$。 III. 設定 $7\theta=\frac{5\pi}2$, 則 $\theta=\frac{5\pi}{14}$, 且 $\cos (7\theta )=\cos \frac{5\pi}2=0$, 與 $\cos\theta=\cos\frac{5\pi}{14}\not=0$, 可得 \begin{align} \cos^6\frac{5\pi}{14}-\frac 74\cos^4\frac{5\pi}{14}+\frac 78\cos^2\frac{5\pi}{14}-\frac 7{64}=0,\label{53} \end{align}演算第 \eqref{53} 式, 得 $$\cos^2\frac{5\pi}{14}=\frac 7{12}-\frac 1{12}\cdot \Big(\frac 72\Big)^{1/3}\big[(1+3\sqrt{3}i)^{1/3}+(1-3\sqrt{3}i)^{1/3} \big],$$再由 $\cos \frac{5\pi}7=2 \cos^2\frac{5\pi}{14}-1$, 可計算出 $\cos \frac{5\pi}7$ 的表達式形式, 得 $$\cos\frac{5\pi}{7}=\frac 1{6}-\frac 1{6}\cdot \Big(\frac 72\Big)^{1/3}\big[(1+3\sqrt{3}i)^{1/3}+(1-3\sqrt{3}i)^{1/3} \big].$$應用 $\cos\frac{5\pi}7=-\cos\frac{2\pi}7$, 再得出 \begin{align} \cos\frac{2\pi}{7}=-\frac 1{6}+\frac 1{6}\cdot \Big(\frac 72\Big)^{1/3}\big[(1+3\sqrt{3}i)^{1/3}+(1-3\sqrt{3}i)^{1/3} \big].\label{54} \end{align}檢視 \eqref{54} 式結果等於 \eqref{13.2} 式, 即 \eqref{54} 式內容裡的 $\big[(1+3\sqrt{3}i)^{1/3}+(1-3\sqrt{3}i)^{1/3} \big]$ 等於 $\big[(1+3\sqrt{3}i)^{1/3}+(1-3\sqrt{3}i)^{1/3} \big]_2$ 。 這些都是直接應用代數演算法推演出的, 而不是應用三角形圖形法。 參、結論三角形圖形法是: 在圖形上必先作出適宜的輔助線, 再規劃出線段與角度以符合正弦定律、餘弦定律的對應關係式, 連結這些相關等式並作聯立整合運算而組建出所需求的一元 3 次方程式, 如第 \eqref{1} 式、 \eqref{10}式、 $\cdots$、 \eqref{34} 式、 \eqref{35} 式; 繼續再對這些一元3次方程式求解出最簡約的一個實數解, 如 \eqref{4} 式、 \eqref{13} 式、 $\cdots$。 三角函數代數演算法是: 直接應用功能奇佳的 De Moivre's theorem 公式 $\cos (n\theta )+i\sin (n\theta )=(\cos \theta +i\sin\theta)^n$, 展開而得 $\cos(n\theta )=f(\cos\theta )$ 或 $\sin(n\theta )=f(\sin\theta )$ 的一元 $n$ 次方程式, 再設定 $\cos(n\theta )=\cos\big(\frac\pi 2\big)=0$ 或正弦的 $\sin(n\theta )=\sin(\pi)=0$ 以求得 $\cos\theta=\cos\big(\frac\pi {2n}\big)$ 或 $\sin\theta=\sin\big(\frac\pi n\big)$ 的最簡約的一個實數解, 如第 \eqref{48} 式、 \eqref{50} 式, 還有另外設定情況的第 \eqref{52} 式、 \eqref{54} 式。 $\big[(1+3\sqrt{3}i)^{1/3}+(1-3\sqrt{3}i)^{1/3} \big]$ 一式實際代表有完全相異的3個實數值: \begin{align*} &\big[(1+3\sqrt{3}i)^{1/3}+(1-3\sqrt{3}i)^{1/3} \big]_1=\Big(\frac 27\Big)^{1/3}\cdot\Big(1-6\cos\frac{\pi}7\Big)=-2.901816\cdots\\ {\hbox{與}}\ &\big[(1+3\sqrt{3}i)^{1/3}+(1-3\sqrt{3}i)^{1/3} \big]_2=\Big(\frac 27\Big)^{1/3}\cdot\Big(1+6\cos\frac{2\pi}7\Big)=3.122541\cdots\\ {\hbox{及}}\ &\big[(1+3\sqrt{3}i)^{1/3}+(1-3\sqrt{3}i)^{1/3} \big]_3=\Big(\frac 27\Big)^{1/3}\cdot\Big(1-6\cos\frac{3\pi}7\Big)=-0.220725\cdots \end{align*}這 3 者都是第 \eqref{43} 式方程式: $x^3-3\cdot(28)^{1/3}\cdot x-2=0$ 的各別不同解。 第 \eqref{44} 式方程式: $x^3-3\cdot (a^2+b^2 )^{1/3}\cdot x-2a=0$, $a$ 與 $b$ 為實數, $ab\not=0$, 它的 3 個根分別為 $x_1, x_2, x_3$ 且有相對應關係等式: $x_1+x_2+x_3=0$, 與 $x_1 x_2+x_2 x_3+x_3 x_1=-3\cdot (a^2+b^2 )^{1/3}$ 及 $x_1 x_2 x_3=2a$, 重要的 3 根形式分別為 $$x_1=(a+bi)^{1/3}+(a-bi)^{1/3}=\big[(a+bi)^{1/3}+(a-bi)^{1/3} \big]_1,\hskip .4cm~{\rm (44d)}$$ $$x_2=\omega(a+bi)^{1/3}+\omega^2(a-bi)^{1/3}=\big[(a+bi)^{1/3}+(a-bi)^{1/3} \big]_2,{\rm (44e)}$$ $$x_3=\omega^2(a+bi)^{1/3}+\omega(a-bi)^{1/3}=\big[(a+bi)^{1/3}+(a-bi)^{1/3} \big]_3,{\rm (44f)}$$其中 $\omega=\dfrac{-1+\sqrt 3i}{2}=1^{1/3}$, $\omega^2=\dfrac{-1-\sqrt 3i}{2}=1^{2/3}$, $\omega^2+\omega+1=0$。 參考文獻本文作者為嘉義市私立輔仁中學退休教師 |
| 頁碼 | 86-116 |










